Destrano

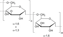
I destrani sono polimeri ramificati del glucosio di peso molecolare variabile prodotti dai lattobacilli (o altri batteri fermentanti, tra i quali Streptococcus mutans e altri batteri appartenenti al genere Leuconostoc) a partire dal saccarosio grazie alla presenza dell'enzima destransaccarasi. Il destrano è caratterizzato da una successione di molecole di D-glucosio legate tra loro mediante un legame glicosidico alfa 1-6 con brevi ramificazioni nelle posizioni alfa 1-2, 1-3 e 1-4.[1]
A livello commerciale viene venduto sotto forma di polvere bianca idrosolubile e classificato in base al peso molecolare.
Impieghi
I destrani vengono impiegati come terapia di supporto nel trattamento delle ipovolemie in quanto succedanei del plasma.[2] Nei pazienti con titolo elevato di anticorpi specifici contro il destrano sono possibili reazioni allergiche anche gravi fino allo shock anafilattico. Si rende pertanto necessaria la titolazione di questi anticorpi prima dell'utilizzo di queste preparazioni.
Il destrano viene impiegato in campo alimentare e cosmetico come addensante, il suo estere solforico trova invece utilizzo medico come anticoagulante.
In ambito farmacologico il destrano cloridrato (DEAE) è una molecola idrosolubile che esplica la sua azione a livello intestinale legandosi agli acidi grassi, acidi biliari e radicali acidi attivando il catabolismo del colesterolo e diminuendo l'assorbimento degli acidi grassi stessi, svolgendo quindi un'azione ipocolesterolemizzante e riducendo l'assimilazione dei grassi. Il suo controllo sul livello del colesterolo si esprime senza influenzare l'assorbimento dell'HDL, preservando così il colesterolo "buono" che previene la formazione di placche arterosclerotiche.
Patogenesi odontoiatriche
Il destrano si trova nel cavo orale dove costituisce il biofilm che riveste lo smalto dei denti. Ha lo scopo di proteggere i denti dall'azione dei batteri, aiutando a prevenire alcune patologie tipiche quali carie e periodontite.
L'assunzione di zuccheri durante un pasto, se non seguita da una corretta igiene orale, induce la loro fermentazione da parte della placca batterica presente causando la formazione di sostanze acide che indeboliscono il biofilm. In questo modo, tali sostanze, riescono ad aggredire lo smalto dentale degradandolo nei suoi costituenti, in particolare scindendo l'idrossiapatite e rendendola solubile.
Analisi chimica
Per l'analisi quantitativa si può ricorrere alla sua completa idrolisi in glucosio ed alla successiva titolazione di quest'ultimo, oppure può essere titolato direttamente usando il metodo proposto da H.C. Hint e G. Thorsen[3] che ha il vantaggio di richiedere pochi milligrammi di fluido in cui il destrano è presente; clinicamente il metodo si può applicare su tutti i fluidi umani urine escluse. Il micro-test consiste nel precipitare il destrano con il solfato rameico in presenza di idrossido di sodio quindi di isolare il composto per centrifugazione; si ottiene un precipitato blu-chiaro.
Note
- ^ (EN) IUPAC Gold Book, "dextrans"
- ^ R. De Pasquale, G. Grandolini e N. Mascolo, Farmacognosia: Farmaci Naturali, Loro Preparazioni Ed Impiego Terapeutico, Springer Science & Business Media, 2000, p. 157, ISBN 88-470-0074-2.
- ^ H.C. Hint e G. Thorsen, Acta Chemica Scandinavica, 1, 1947, 808-812
Voci correlate
Altri progetti
Wikimedia Commons contiene immagini o altri file su destrano
Collegamenti esterni
- destrano, su sapere.it, De Agostini.
- (EN) dextran, su Enciclopedia Britannica, Encyclopædia Britannica, Inc.
| Controllo di autorità | GND (DE) 4012000-4 · J9U (EN, HE) 987007550683905171 |
|---|