Finite impulse response
Nella teoria dei segnali, in particolare nell'elaborazione numerica dei segnali, un sistema dinamico finite impulse response, in italiano risposta finita all'impulso e spesso abbreviato in FIR, è una tipologia di filtro digitale caratterizzata da una risposta impulsiva di durata finita, cioè che si annulla ad un tempo finito. I sistemi la cui risposta non si annulla ad un tempo finito sono detti infinite impulse response (IIR).
Definizione

L'uscita di un sistema dinamico lineare tempo-invariante (LTI) a tempo continuo soggetto ad un segnale in ingresso è descritta dalla convoluzione , dove è la risposta del sistema quando l'ingresso è una funzione a delta di Dirac. L'uscita è quindi proporzionale alla media dell'ingresso pesata dalla funzione , traslata di un tempo :
Un sistema dinamico lineare stazionario discreto trasforma la successione in ingresso in un'altra successione , data dalla convoluzione discreta con la risposta alla delta di Kronecker:
Gli elementi di possono dipendere da ogni elemento di . Solitamente dipende maggiormente dagli elementi in prossimità del tempo .
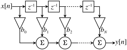
Per un filtro a tempo discreto l'uscita è una somma pesata dei valori assunti dall'ingresso al tempo corrente ed a tempi precedenti. Tale operazione è descritta dalla seguente equazione:
dove sono detti coefficienti del filtro, che determinano la risposta impulsiva, ed l'ordine del filtro. Per un filtro di ordine compaiono termini nel membro alla sinistra.
Filtro a media mobile
.svg.png)

Un filtro a media mobile è uno dei più semplici filtri FIR, i cui coefficienti soddisfano l'equazione:
Ad esempio, un filtro di ordine ha risposta impulsiva:
Facendone la trasformata zeta:
i cui due poli sono nell'origine e i due zeri in:
La risposta in frequenza (in radianti per campione) è:
Bibliografia
- (EN) Phillips, C.l., Parr, J.M., & Riskin, E.A, Signals, systems and Transforms, Prentice Hall, 2007, ISBN 0-13-041207-4.
- (EN) Hespanha,J.P., Linear System Theory, Princeton university press, 2009, ISBN 0-691-14021-9.
Voci correlate
- Delta di Dirac
- Ergodicità
- Funzione di trasferimento
- Infinite impulse response
- Sistema dinamico
- Sistema dinamico lineare
- Sistema dinamico lineare stazionario discreto
- Teoria della stabilità
- Trasformata di Fourier
- Trasformata di Fourier a tempo discreto
- Trasformata zeta
Altri progetti
Wikimedia Commons contiene immagini o altri file su Finite impulse response
Collegamenti esterni
- (EN) Denis Howe, Finite impulse response, in Free On-line Dictionary of Computing. Disponibile con licenza GFDL