Synchronous Digital Hierarchy
In telecomunicazioni la Synchronous Digital Hierarchy (SDH, lett. "gerarchia digitale sincrona") è un protocollo di livello fisico, ossia di trasporto, usato per la multiplazione a divisione di tempo e la successiva trasmissione digitale di telefonia e dati in reti di telecomunicazioni geografiche (WAN) su fibra ottica, cavo elettrico o ponte radio. Le reti che utilizzano tale protocollo a livello fisico vengono dette reti SDH.
Descrizione
Funzionalità
Il protocollo SDH definisce nel dettaglio le modalità per aggregare (o multiplare), a vari livelli di gerarchie possibili, flussi dati a bit-rate diverse e ritrasmetterli tutti insieme su grandi distanze con tecniche di tipo TDM a interlacciamento di byte (byte interleaving). A differenza della Plesiochronous Digital Hierarchy (Gerarchia Digitale Plesiocrona o PDH), il protocollo SDH si basa sul fatto che tutti gli elementi della rete sono tra loro statisticamente sincronizzati con lo stesso clock con una precisione molto elevata (stessa frequenza e stessa fase).
In combinazione a ciò, la definizione di una speciale struttura di trama con l'aggiunta di un numero significativo di informazioni di servizio (overhead) permette non solo l'estrazione diretta di un singolo traffico tributario senza dover effettuare la demultiplazione completa dell'intero flusso, rendendo così la rete molto più flessibile ed efficiente, ma anche il trasferimento di informazioni essenziali per la corretta gestione della rete e per la sua auto-protezione a fronte di guasti o di condizioni anomale o degrado. Il risultato finale è che il protocollo SDH consente di raggiungere elevatissimi livelli di qualità di servizio (disponibilità di servizio del 99,999%) e notevoli strumenti per il controllo e monitoraggio in tempo reale dell'intera rete di trasmissione.
Standardizzazione e diffusione
Il protocollo SDH è stato standardizzato nella sua prima versione dall'Unione Internazionale delle Telecomunicazioni (ITU) nel 1988. Da allora sono stati prodotti diversi aggiornamenti ed estensioni dello standard, che è definito da una serie di normative tra cui le più importanti in forza sono la G.707[1], la G.783[2] e la G.803[3].
Il protocollo SDH è diffuso in tutto il mondo con l'eccezione del Nord America e di poche altre nazioni dove viene invece usato un analogo protocollo, SONET (Synchronous Optical NETworking), che utilizza gli stessi concetti di base dell'SDH, ma che segue uno standard leggermente diverso definito da Telcordia e più aderente alle caratteristiche specifiche delle reti di trasmissione telefonica nordamericane. Grazie alle loro forti analogie, i protocolli SONET e SDH sono anche in grado di interoperare sia pure entro certi limiti.
La trama SDH

A differenza della multiplazione PDH, che avviene intercalando tra loro i singoli bit dei segnali tributari (bit interleaving), la multiplazione SDH avviene intercalando tra loro i singoli byte dei segnali tributari (byte interleaving), organizzandoli secondo una struttura di trama ben precisa che nel suo modulo elementare (Synchronous Transport Module di livello 1 o STM-1) viene tipicamente rappresentata sotto forma di una matrice di byte disposti su 9 righe x 270 colonne per un totale di 2430 byte.
Ciascun singolo byte della trama SDH costituisce un canale di bit rate pari a 64 Kbit/s, equivalente a un singolo canale di telefonia: da questo discende che ogni trama elementare di tipo STM-1 viene trasmessa in 125 microsecondi. Il protocollo prevede poi aggregazioni di più moduli STM-1 a gerarchie via via superiori definite STM-N, dove "N" indica il numero di moduli STM-1 aggregati insieme.
La trama SDH è suddivisa in due parti fondamentali:
- una parte di informazioni di servizio globali denominata Section Overhead (overhead di sezione, SOH) contenuta nelle prime nove colonne della trama (9x9=81 byte);
- una parte che trasporta il traffico vero e proprio (payload) contenuta nelle restanti 261 colonne, denominata Administrative Unit (AU) (261x9=2349 byte).
La trasmissione della trama, che può essere vista dunque come una sorta di contenitore di dati ed overhead e di cui la matrice è solo una comoda rappresentazione formale, avviene sequenzialmente per riga della matrice.
Struttura di trasporto del payload
Administrative Unit (AU)
L'Administrative Unit, AU, contiene tutto il flusso risultante dal processo di multiplazione dei tributari, prima dell'inserimento finale nel payload della trama SDH.
In generale, la posizione di inizio dell'AU non è allineata con il primo byte utile dopo l'overhead: in fase di generazione della trama finale l'AU viene normalmente allocato a partire da un punto intermedio dei 261x9 byte destinati al payload. Il riferimento (puntatore) alla posizione della trama in cui viene allocato il primo byte dell'AU viene memorizzato in una posizione fissa dell'overhead di trama, ovvero nelle prime nove colonne della quarta riga. Questa informazione di posizionamento, fondamentale per l'inserimento/estrazione dei tributari dalla trama, costituisce l'Administrative Unit Pointer o AU Pointer. L'insieme dell'Administrative Unit e dell'AU Pointer viene denominato Administrative Unit Group, AUG.
Virtual Container (VC) e Tributary Unit (TU)
All'interno dell'AU, i singoli flussi tributari sono organizzati come sequenza di strutture omogenee denominate Virtual Container, VC (contenitore virtuale). Ciascun VC comprende a sua volta una parte di informazioni di servizio aggiuntive (path overhead, POH) usate per la gestione, il monitoraggio e la protezione del singolo tributario, seguita dal flusso informativo vero e proprio costituito dal tributario adattato alla trama SDH.
Come nel caso dell'AU, il primo byte utile del Virtual Container non ha una posizione prefissata e anche in questo caso si ricorre a un puntatore (Tributary Unit Pointer, TU Pointer) posizionato in modo predeterminato nella trama SDH, che indica il punto di inizio del VC stesso. L'insieme del VC e del suo TU Pointer viene denominato Tributary Unit, TU.
A seconda della bit rate dei tributari multiplati si distinguono diversi tipi di Virtual Container: per esempio, VC-12 per un trasporto a 2 Mbit/s; VC-3 per un trasporto a 48 Mb/s; VC-4 per un trasporto a 140 Mb/s. La dimensione in byte dei Virtual Container è predefinita, in funzione della gerarchia di trasporto associata.
Capacità trasmissive dei Virtual Container
La capacità trasmissiva, ossia la bit rate, associata a ciascun tipo di VC è riportata nella tabella seguente:
| Tipo di VC | Bit rate complessiva | Bit rate del payload | Canali telefonici equivalenti | Gerarchia PDH associata | |
|---|---|---|---|---|---|
| ANSI | ETSI | ||||
| VC-11 | 1 664 kbit/s | 1 600 kbit/s | 25 | DS1 (1,5 Mbit/s) | |
| VC-12 | 2 240 kbit/s | 2 176 kbit/s | 34 | E1 (2 Mbit/s) | |
| VC-2 | 6 848 kbit/s | 6 784 kbit/s | 106 | DS2 (6,3 Mbit/s) | |
| VC-3 | 48 960 kbit/s | 48 384 kbit/s | 756 | DS3 (45 Mbit/s) | E3 (34 Mbit/s) |
| VC-4 | 150 336 kbit/s | 149 760 kbit/s | 2340 | E4 (140 Mbit/s) | |
Section Overhead (SOH)
Le prime nove colonne della trama SDH costituiscono la cosiddetta section overhead (SOH). Questa parte della trama contiene informazioni di servizio relative alla trama nel suo complesso ed essenziali per il riconoscimento della trama stessa e per l'accesso ai singoli flussi tributari, nonché un insieme di informazioni di controllo per la gestione, il monitoraggio e la protezione dell'intero modulo.
La SOH è suddivisa in due parti distinte: la Regenerator Section Overhead (RSOH), che viene terminata (ossia ricreata da capo) ad ogni tratta di rigenerazione ottica del segnale, e la Multiplex Section Overhead (MSOH) che attraversa in modo trasparente le tratte di rigenerazione, senza essere modificata, e viene terminata (ricreata da capo) quando viene eseguita la multiplazione della trama SDH con la costruzione dell'AUG.
RSOH e MSOH occupano due posizioni ben distinte e separate nella SOH. La RSOH utilizza le prime tre righe della SOH complessiva (dalla 1 alla 3) mentre la MSOH usa le ultime cinque righe (dalla 5 alla 9) dato che la quarta riga è riservata per l'AU pointer.
| col1 | col2 | col3 | col4 | col5 | col6 | col7 | col8 | col9 | |
|---|---|---|---|---|---|---|---|---|---|
| riga1 | RSOH | ||||||||
| riga2 | |||||||||
| riga3 | |||||||||
| riga4 | AU POINTER | ||||||||
| riga5 | MSOH | ||||||||
| riga6 | |||||||||
| riga7 | |||||||||
| riga8 | |||||||||
| riga9 | |||||||||
In trame di tipo STM-N, i byte relativi alla RSOH/MSOH dei singoli STM-1 sono posizionati in maniera ordinata e interallacciata su N colonne: il byte numero 1 del flusso STM-1 numero 1 è seguito dal byte numero 1 del flusso STM-1 numero 2, dal byte numero 1 del flusso STM-1 numero 3 e così via in sequenza. In questo modo è possibile ricostruire e accedere in modo diretto alle informazioni di RSOH e MSOH relative al singolo STM-1 del flusso multiplato.
Regeneration Section Overhead (RSOH)
La RSOH è composta da 27 byte, ognuno equivalente a un canale a 64 Kb/s, così strutturati:
| col1 | col2 | col3 | col4 | col5 | col6 | col7 | col8 | col9 | |
|---|---|---|---|---|---|---|---|---|---|
| riga1 | A1 | A1 | A1 | A2 | A2 | A2 | J0 | ⊕ | ⊕ |
| riga2 | B1 | Δ | Δ | E1 | Δ | F1 | ⊕ | ⊕ | |
| riga3 | D1 | Δ | Δ | D2 | Δ | D3 |
Il significato di ciascun byte è il seguente:
- A1, A2: byte di allineamento complessivo della trama
- J0: regenerator section trace
- B1: controllo di parità della trama (monitoraggio degli errori di trasmissione)
- E1: canale telefonico di servizio (orderwire)
- F1: riservato per usi proprietari
- D1,D2,D3: informazioni di gestione (canale dati a 192 Kb/s)
- ⊕: byte riservati per uso nazionale
- Δ: byte per informazioni dipendenti dal mezzo di trasporto
Descrizione di dettaglio dei byte di RSOH
- Byte A1, A2
- Tutti i byte della trama SDH sono codificati tramite un algoritmo di scrambling ad eccezione della prima riga della RSOH (rappresentata su sfondo più scuro nella tabella). I byte di allineamento sono costituiti da una sequenza binaria fissa che viola l'algoritmo di scrambling (A1: 11110110, A2: 00101000), consentendo così al ricevitore di utilizzare tale sequenza per identificare esattamente il primo byte della trama SDH complessiva e verificare che l'aggancio venga mantenuto correttamente nel tempo.
- Byte J0
- Il byte J0 trasporta informazioni di identificazione univoca del trasmettitore in modo tale che il ricevitore può verificare che il segnale che arriva è effettivamente quello atteso. Nel caso il ricevitore rilevi un segnale che non è quello previsto (per esempio un segnale proveniente da una sorgente diversa e inattesa) è in grado di "silenziare" la trasmissione a valle, fornendo così un criterio per allertare la centrale operativa della rete di trasmissione sulla presenza di collegamenti errati.
- Byte B1
- Il byte B1 consente di valutare la presenza di errori di trasmissione mediante il calcolo della parità effettuata su tutti i bit dell'intera trama SDH con un algoritmo Bit Interleave Parity. Il risultato del controllo di parità è un valore espresso su otto bit (BIP-8) che viene memorizzato nel byte B1. In questo modo è possibile controllare se la singola tratta di rigenerazione introduce errori di trasmissione (per esempio, per problemi al trasmettitore o al ricevitore o nel mezzo trasmissivo).
- Byte E1
- Il byte E1 è un canale telefonico di servizio e di emergenza usato per operazioni di manutenzione per esempio, per consentire a due tecnici di parlare tra di loro direttamente tra un rigeneratore e l'altro durante fasi di installazione o riparazione di un rigeneratore usando la linea SDH stessa come linea telefonica diretta.
- Byte F1
- Il byte F1 è un canale dati generico il cui impiego viene lasciato libero per usi interni del proprietario della rete.
- Byte D1, D2 e D3
- I byte D1, D2 e D3 nel loro insieme costituiscono un canale dati generico a 192 Kb/s (Data Communication Channel, DCC) che viene normalmente impiegato per il collegamento degli apparati a una rete di gestione centralizzata, per operazioni quali la configurazione dell'apparato da remoto o la raccolta di informazioni di stato e di allarme relative all'apparato o alla rete di trasmissione stessa.
Multiplex Section Overhead (MSOH)
La MSOH è composta da 45 byte, ognuno equivalente a un canale a 64 Kb/s, così strutturati:
| col1 | col2 | col3 | col4 | col5 | col6 | col7 | col8 | col9 | |
|---|---|---|---|---|---|---|---|---|---|
| riga5 | B2 | B2 | B2 | K1 | K2 | ||||
| riga6 | D4 | D5 | D6 | ||||||
| riga7 | D7 | D8 | D9 | ||||||
| riga8 | D10 | D11 | D12 | ||||||
| riga9 | S1 | M1 | E2 | ⊕ | ⊕ |
Il significato di ciascun byte è il seguente:
- B2: controllo di parità della trama (monitoraggio degli errori di trasmissione)
- K1, K2: protocollo di gestione delle protezioni (Automatic Protection Switch, APS)
- K2: informazione di guasto remoto
- D4-D12: informazioni di gestione (canale dati a 512 Kb/s)
- S1: informazioni di stato della sincronizzazione
- M1: conteggio errori di trasmissione
- E2: canale telefonico di servizio (orderwire)
- ⊕: byte riservati per uso nazionale
Descrizione di dettaglio dei byte di MSOH
- Byte B2
- I tre byte B2 consentono di valutare la presenza di errori nella tratta tra due multiplazioni successive mediante il calcolo della parità effettuata su tutti i bit della trama SDH ad esclusione delle sole prime tre righe del SOH (RSOH) con un algoritmo Bit Interleave Parity. Il risultato del controllo di parità è un valore espresso su ventiquattro bit (BIP-24) che viene memorizzato nei tre byte B2. In questo modo è possibile controllare se tra un multiplatore e l'altro sono stati inseriti errori per esempio in fase di multiplazione/demultiplazione.
- Byte K1, K2 (bit 1-5)
- Il byte K1 e i primi cinque bit del byte K2 costituiscono un canale di comunicazione a 104Kb/s usato dai protocolli di gestione dei meccanismi di protezione automatica a livello di sezione di multiplazione per la comunicazione di informazioni di guasto e per la sincronizzazione degli scambi di protezione.
- Byte K2 (bit 6-8)
- I rimanenti tre bit del byte K2 costituiscono un canale di comunicazione a 24 Kb/s usato per convogliare verso il multiplatore trasmetittore l'informazione che il multiplatore ricevente ha rilevato condizioni di guasto o di malfunzionamento (Remote Defect Indication, RDI)
- Byte D4-D12
- I nove byte D4-D12 nel loro insieme costituiscono un canale dati generico a 512 Kb/s (Data Communication Channel, DCC) che viene normalmente impiegato per il collegamento degli apparati a una rete di gestione centralizzata, per operazioni quali la configurazione dell'apparato da remoto o la raccolta di informazioni di stato e di allarme relative all'apparato o alla rete di trasmissione stessa.
- Byte S1
- Il byte S1 è un canale di comunicazione a 64Kb/s usato per trasferire informazioni relative al tipo e al livello di qualità della sincronizzazione o per informare che la sezione di multiplazione non deve essere usata per estrarre il sincronismo.
- Byte M1
- Il byte M1 contiene il conteggio del numero di blocchi di bit su cui l'algoritmo BIP-24 (lo stesso usato per i byte B2) ha rilevato degli errori. Questo conteggio consente di valutare il tasso di errore equivalente a livello di una tratta di multiplazione.
- Byte E2
- Il byte E2 è un canale telefonico di servizio e di emergenza usato per operazioni di manutenzione per esempio, per consentire a due tecnici di parlare tra di loro direttamente tra un apparato di multiplazione e l'altro durante fasi di installazione o riparazione usando il collegamento SDH come linea telefonica diretta.
Path Overhead (POH)
Le informazioni di path overhead (POH) sono associate ai VC. Questa parte della trama contiene informazioni di servizio e di controllo per la gestione, il monitoraggio e la protezione dell'intero VC e dei tributari in esso contenuti. La struttura è differente a seconda che si considerino i VC di ordine superiore (VC4 e VC3, higher order) o quelli di ordine inferiore (VC2, VC12 e VC11, lower order).
POH di Higher Order
Il POH di higher order è associato ai VC3 e VC4 ed è costituito dai primi nove byte, corrispondenti alla prima colonna del Virtual Container stesso. La struttura è così definita:
| J1 |
| B3 |
| C2 |
| G1 |
| F2 |
| H4 |
| F3 |
| K3 |
| N1 |
Il significato di ciascun byte è il seguente:
- J1: path trace
- B3: controllo di parità del Virtual Container
- C2: signal label
- G1: path status, informazioni relative allo stato della terminazione remota del VC
- F2, F3: canali a uso utente
- H4: indicatore di sequenza e di posizionamento, usato per la concatenazione virtuale
- K3: protocollo di protezione APS e protocolli utente per la gestione del link
- N1: Tandem Connection Monitoring
Descrizione di dettaglio dei byte di POH di higher order
- Byte J1
- Il byte J1 trasporta informazioni di identificazione univoca del circuito associato al VC in modo tale che alla terminazione del VC sia possibile verificare che il segnale che arriva è effettivamente quello atteso. Nel caso alla terminazione si rilevi un identificatore che non è quello previsto (per esempio un segnale proveniente da un altro circuito per colpa di una connessione intermedia errata), è possibile "silenziare" il segnale in uscita, fornendo così un criterio per allertare la centrale operativa della rete di trasmissione sulla presenza di collegamenti errati e assicurando inoltre la sicurezza (privacy) dei dati, impedendo che vengano trasferiti dati verso il destinatario sbagliato.
- Byte B3
- Il byte B3 consente di valutare la presenza di errori di trasmissione relativi allo specifico circuito associato al VC mediante il calcolo della parità effettuata su tutti i bit del VC stesso con un algoritmo Bit Interleave Parity. Il risultato del controllo di parità è un valore espresso su otto bit (BIP-8) che viene memorizzato nel byte B3. In questo modo è possibile controllare se eventuali errori di trasmissione, dovuti per esempio a problemi al trasmettitore o al ricevitore o nel mezzo trasmissivo, si ripercuotono nel contenuto informativo trasportato dal VC.
- Byte C2
- Il byte C2 trasporta l'informazione codificata sul tipo di segnale trasportato all'interno del VC. Questo byte, codificato in fase di trasmissione, segnala per esempio il tipo di struttura di TUG oppure se il VC contiene un segnale dati adattato all'SDH (per esempio, un flusso ATM piuttosto che un flusso Ethernet). Con questo sistema è possibile trasportare l'informazione relativa a fino 256 tipi di segnale diversi, secondo una tabella di codifica standardizzata. Assumono un valore particolare le codifiche associate ai valori 0 ('00' in esadecimale) e 255 (FF in esadecimale):
- - Il valore '00' identifica un segnale di manutenzione speciale, denominato unequipped o supervisory unequipped, che serve per indicare che il VC non sta trasportando alcun segnale utile ad eccezione del suo POH e serve sia per identificare un'apertura intermedia del circuito non legata a guasti di fibra o l'assenza voluta del segnale di payload associato al VC.
- - Il valore 'FF', denominato VC-AIS (Virtual Container Alarm Indication Signal) si usa per segnalare ai nodi a valle il fatto che il segnale trasportato nel payload non è valido, a causa per esempio di rotture o guasti a monte, provocandone quindi il contestuale silenziamento.
- Byte G1 (bit 1-4)
- I primi quattro bit del byte G1 vengono usati per trasferire indietro verso il nodo trasmettitore il conteggio dei blocchi in cui il ricevitore ha rilevato errori tramite l'algoritmo BIP-8 (REI, Remote Error Indication). In pratica, il ricevitore trasmette indietro un'informazione equivalente a quella del byte B3 come calcolata nel punto terminale del VC. In questo modo, il nodo trasmettitore possiede contemporaneamente sia l'informazione relativa agli errori rilevati dal nodo stesso che l'informazione relativa agli errori rilevati dal nodo ricevitore, rendendo possibile controllare la qualità dell'intero circuito prelevando le necessarie informazioni da un unico nodo.
- Byte G1 (bit 5)
- Il bit 5 del byte G1 viene usato per trasferire indietro verso il nodo trasmettitore l'informazione relativa ad eventuali problemi o guasti di segnale rilevati dal trasmettitore (RDI, Remote Defect Indication). In questo modo, analogamente a quanto avviene per gli errori, osservando il solo trasmettitore è possibile sapere se sono presenti problemi sul ricevitore, consentendo così un monitoraggio più efficiente dello stato del circuito.
- Byte G1 (bit 6-8)
- Questi bit sono riservati per utilizzi opzionali (bit 6 e 7) o sono lasciati indefiniti per eventuali impieghi futuri (bit 8).
- Byte F2 e F3
- Questi byte sono destinati come canale di comunicazione tra i nodi terminali del VC per usi proprietari.
- Byte H4
- Questo byte viene usato come indicatore di multisequenza. Nel contesto della concatenazione virtuale serve per indicare se il VC corrispondente fa parte o meno di un gruppo di concatenazione e quale è la sua posizione nella sequenza di concatenazione, in modo da poter ricostruire correttamente in uscita il flusso complessivo distribuito tra i vari VC dal meccanismo di concatenazione.
- Byte K3 (bit 1-4)
- Questi bit servono per convogliare informazioni del protocollo di protezione APS relativo all'eventuale schema di protezione dello specifico VC.
- Byte K3 (bit 5-6)
- Questi bit sono riservati per eventuali usi futuri.
- Byte K3 (bit 7-8)
- Questi bit sono destinati a un generico link dati associato al VC.
- Byte N1
- Questo byte viene utilizzato per trasportare informazioni relative alla Tandem Connection Monitoring del VC associato.
POH di Lower Order
Per i VC di lower order il POH è costituito da quattro byte. A differenza degli overhead di sezione e dei VC di higher order, che vengono trasmessi completamente all'interno di una singola trama SDH, il POH di lower order viene trasmesso distribuito su quattro trame consecutive, consentendo così di utilizzare per esso solo il primo byte del VC stesso secondo una distribuzione multitrama. Con questo meccanismo, la periodicità di trasmissione di ciascun byte del POH diventa 500 µs e il significato del primo byte del VC cambia a seconda della sua posizione nella sequenza di multitrama.
La struttura logica del POH di lower order è così definita:
| trama 1 | V5 |
|---|---|
| trama 2 | J2 |
| trama 3 | N2 |
| trama 4 | K4 |
Il significato di ciascun byte è il seguente:
- V5: informazioni di errore e signal label
- J2: path trace
- N2: Tandem Connection Monitoring
- K4: signal label estesa, protocollo di protezione APS e indicatore di sequenza e posizionamento per la concatenazione virtuale
Descrizione di dettaglio dei byte di POH di lower order
- Byte V5 (bit 1-2)
- I bit 1 e 2 del byte V5 svolgono la stessa funzione del byte B3 del POH di higher order. Gli errori di trasmissione relativi allo specifico circuito associato al VC vengono rilevati mediante il calcolo della parità effettuata su tutti i bit del VC stesso con un algoritmo Bit Interleave Parity. Il risultato del controllo di parità è un valore espresso su due bit (BIP-2) che viene memorizzato nei bit 1 e 2 del byte V5.
- Byte V5 (bit 3)
- Il bit 3 del byte V5 viene usato per trasferire indietro verso il nodo trasmettitore il conteggio dei blocchi in cui il ricevitore ha rilevato errori tramite l'algoritmo BIP-2 (REI, Remote Error Indication), analogamente a quanto avviene nel byte G1 del POH di higher order.
- Byte V5 (bit 4)
- Il bit 4 del byte V5 viene usato per trasferire indietro verso il nodo trasmettitore la segnalazione di un guasto sul nodo ricevitore (RFI, Remote Failure Indication) Questa informazione si usa solo per i Virtual Container di tipo VC-11, mentre questo bit non ha alcun significato associato nel caso di VC-12 e VC-2.
- Byte V5 (bit 5-7)
- I bit 5-7 trasportano l'informazione relativa al tipo di codifica usata per il segnale trasportato all'interno del VC, svolgendo una funzione analoga a quella del byte C2 del POH di higher order. Assumono un valore particolare le codifiche associate ai valori 0, 5 e 7:
- - Il valore '0' identifica un segnale di manutenzione speciale, denominato unequipped o supervisory unequipped, che serve per indicare che il VC non sta trasportando alcun segnale utile ad eccezione del suo POH e serve sia per identificare un'apertura intermedia del circuito non legata a guasti di fibra o l'assenza voluta del segnale di payload associato al VC.
- - Il valore '5' identifica una signal label estesa, ossia una codifica non compresa tra gli otto valori definiti per il byte V5. In presenza di questo valore, la codifica effettivamente associata al tipo di segnale viene espressa da un codice a 32 bit trasportato nel byte K4 sotto forma di multitrama.
- - Il valore '7', denominato VC-AIS (Virtual Container Alarm Indication Signal) si usa per segnalare ai nodi a valle il fatto che il segnale trasportato nel payload non è valido, a causa per esempio di rotture o guasti a monte, provocandone quindi il contestuale silenziamento.
- Byte V5 (bit 8)
- Il bit 8 del byte V5 viene usato per trasferire indietro verso il nodo trasmettitore l'informazione relativa ad eventuali problemi o guasti di segnale rilevati dal trasmettitore (RDI, Remote Defect Indication), analogamente a quanto avviene nel byte G1 del POH di higher order.
- Byte J2
- Il byte J2 trasporta informazioni di identificazione univoca del circuito associato al VC in modo tale che alla terminazione del VC sia possibile verificare che il segnale che arriva è effettivamente quello atteso, analogamente al byte J1 del POH di higher order.
- Byte N2
- Questo byte viene utilizzato per trasformare informazioni relative alla Tandem Connection Monitoring del VC associato.
- Byte K4 (bit 1)
- Il primo bit del byte K4 trasporta l'informazione di signal label estesa. Dato che questa informazione è codificata su 32 bit, viene distribuita su una struttura multitrama. I primi undici bit della multitrama servono per l'allineamento, mentre la codifica effettiva della signal label utilizza gli otto bit successivi (dal numero 12 al numero 19). Il ventesimo bit ha il valore fisso '0' mentre i restanti dodici bit della multitrama sono riservati per eventuali estensioni future.
- Byte K4 (bit 2)
- Il secondo bit del byte K4 viene utilizzato come numero di sequenza e posizionamento nel caso in cui il VC associato faccia parte di un gruppo di concatenazione virtuale. Anche questa informazione è codificata su 32 bit e viene trasmessa con il meccanismo della multitrama.
- Byte K4 (bit 3-4)
- I bit 3 e 4 del byte K4 sono riservati per un eventuale protocollo di protezione APS attivo a livello del VC.
- Byte K4 (bit 5-7)
- Questi bit sono riservati per un uso opzionale (Enhanced- Remote Defect Indication).
- Byte K4 (bit 8)
- Questo bit è destinato per un generico protocollo di comunicazione a livello di data link specifico per il VC associato.
Meccanismo di multiplazione e demultiplazione
STM-1

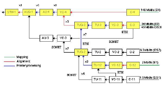
La multiplazione SDH si basa su tre operazioni fondamentali, che possono essere applicate anche in modo ricorsivo:
- la mappatura (mapping) del tributario all'interno del contenitore SDH
- l'allineamento (alignment) del tributario mappato con la trama SDH vera e propria
- l'elaborazione e l'inserimento dei puntatori nella trama (pointer processing) per l'accesso diretto al tributario stesso.
Come prima operazione, il segnale tributario in ingresso (flusso PDH, flusso ATM, flusso Ethernet, flusso dati generico) viene mappato in un contenitore (Container) e quindi allineato all'interno di un Virtual Container di dimensione fissa e di rate corrispondente o superiore al rate del tributario stesso. In quest'ultimo caso, la capacità di banda in eccesso viene riempita con informazioni nulle (stuffing). Infatti i VC originariamente sono stati concepiti con bit rate particolarmente adatte per le gerarchie PDH esistenti ma con l'evoluzione delle reti di telecomunicazione, soprattutto con l'utilizzo crescente per il trasporto dei dati (Internet, Voice over IP, video compreso il video on demand e la pay per view via cavo), sono state sviluppate evoluzioni che consentono di adattare le gerarchie di VC esistenti anche a bit rate differenti da quelle classiche delle gerarchie PDH. Anche il VC è strutturato in due sezioni: una riservata a informazioni di servizio (Path Overhead), posizionata sempre all'inizio del VC e l'altra destinata per il Container.
Nella fase di allineamento, il Container viene posizionato all'interno del VC. Dato che la fase del Container non è correlata con la fase del VC, il primo byte logico del Container generalmente non corrisponderà con il primo byte dell'area ad esso riservata nel VC ma si troverà in una posizione intermedia.
La terza fase della multiplazione, l'elaborazione dei puntatori, serve proprio per memorizzare nel TU Pointer, che si trova nel Path Overhead, la posizione di inizio del Container all'interno del VC. Alla fine di queste operazioni si ottiene così come risultato finale la Tributary Unit, TU.
I tributari così multiplati vengono raggruppati in un Tributary Unit Group, TUG, che allinea i TU pointer dei TU componenti e costituisce la base per la multiplazione a livello successivo tramite la medesima sequenza di mappatura, allineamento ed elaborazione dei puntatori, fino ad ottenere un TU/TUG di ordine superiore.
Sono possibili diverse combinazioni, ossia modalità di multiplazione, dei TU/TUG all'interno di un singolo VC:
- un VC-12 può contenere un solo tributario a 2 Mbit/s
- un TU-12 viene associato a un solo VC-12
- tre TU-12 vengono raggruppati in un TUG-2 a 6.3 Mbit/s.
- un VC-3 può contenere un solo tributario a 34/45 Mbit/s
- un TU-3 viene associato a un solo VC-3
- un TUG-3 può contenere un singolo TU-3 oppure sette TUG-2, pari a 21 tributari a 2 Mbit/s.
- un VC-4 può contenere un solo tributario a 140 Mbit/s oppure tre TUG-3.
- una AU-4 può contenere un solo VC-4.
La raccomandazione G.707 definisce anche tributari a 1.5 Mbit/s (VC-11 e TU-11) e a 6.3 Mbit/s (VC-2 e TU-2), corrispondenti al primo e al secondo livello della gerarchia PDH americana ma di fatto non utilizzati nell'ambito di applicazione dell'SDH. Per questi tributari, il raggruppamento previsto è il TUG-2, che rispetto a tributari di questa gerarchia può quindi contenere un solo TU-2 oppure fino a quattro TU-11. Dal TUG-2 in avanti la struttura di multiplazione è identica a quella prevista per i VC-12 e TU-12. Nel caso del SONET inoltre è possibile definire l'AU anche a livello di AU-3 (STM-0).
Tipicamente, i VC relativi al primo livello di multiplazione, ossia i VC11, VC12 e VC2, vengono definiti di lower order, mentre i VC relativi ai livelli di multiplazione successivi, V3 e VC4, che possono contenere più tributari VC11, VC12 e/o VC2, vengono definiti di higher order.
All'interno della stessa trama SDH possono essere presenti diverse combinazioni contemporaneamente: per esempio, possono esserci due TUG-3 che trasportano ciascuno un tributario a 34/45 Mbit/s e un terzo TUG-3 che trasporta sette TUG-2, ossia sette tributari a 2 Mbit/s. Questa caratteristica consente di realizzare una distribuzione del traffico e un utilizzo delle risorse di banda estremamente flessibili, cosa non possibile invece con la multiplazione PDH che obbliga a utilizzare combinazioni omogenee di tributari.
L'ultimo livello di multiplazione, che arriva a riempire completamente la parte di trama destinata al payload, costituisce l'Administrative Unit (AU). Dato che a sua volta l'Administrative Unit non è in fase con la trama SDH, in generale la posizione del suo primo byte logico non corrisponderà con il primo byte fisico riservato al payload ma si troverà in un punto intermedio dell'area dedicata di 261x9 byte. La posizione del primo byte viene quindi memorizzata nell'AU pointer, che si trova sempre nelle prime 9 colonne della quarta riga della trama SDH. L'insieme dell'AU e del relativo AU Pointer costituisce infine l'Administrative Unit Group di livello 1 (AUG-1).
In testa alla trama così ottenuta viene infine aggiunta l'informazione di overhead di sezione (SOH), completando così la generazione del flusso STM-1, la cui bit-rate finale è di 155 Mbit/s: questo significa che una singola trama STM-1 viene trasmessa in 125 microsecondi, con ogni singolo byte equivalente a un canale a 64 kbit/s.
La demultiplazione di un singolo tributario avviene tramite il processo inverso di elaborazione dei puntatori: tramite l'AU Pointer si identifica all'interno del payload il primo byte dell'AU-4, ossia il primo byte della trama multiplata. Dato che ogni tributario è allocato in un numero fisso di byte, una volta nota questa posizione iniziale è possibile individuare immediatamente in modo ricorsivo la posizione di inizio di tutti i TU/TUG della trama e tramite elaborazione ricorsiva del TU/TUG pointer è possibile estrarre (o inserire) direttamente dalla trama il singolo tributario finale, senza dover distruggere e ricreare l'intero flusso come invece avviene nella multiplazione PDH.
STM-N
Per flussi SDH di gerarchia più elevata (STM-N), la trama e il meccanismo di multiplazione e demultiplazione seguono un meccanismo ricorsivo in base al quale la SOH e l'AUG del flusso multiplato si ottengono combinando insieme le SOH e gli AUG dei singoli flussi componenti a gruppi di quattro, conformemente alla definizione della gerarchia SDH (STM-4 come multiplazione di quattro STM-1, STM-16 come multiplazione di quattro STM-4 e così via).
La trama di un flusso STM-N è quindi rappresentabile come una matrice di byte disposti su 9 righe per 270xN colonne. La parte di SOH della trama STM-N è composta dalle prime 9xN colonne, che combinano gli N SOH tributari; l'AU pointer è costituito dalla concatenazione degli N AU pointer; l'AUG-N è costituito dalla concatenazione (byte interleaving) degli N AUG componenti di gerarchia inferiore.
Con questa struttura, grazie all'informazione degli AU pointer è possibile estrarre o inserire direttamente il singolo flusso STM-x oppure il singolo tributario dal singolo flusso STM-x tramite l'applicazione ricorsiva del meccanismo di processazione dei puntatori, senza dover demultiplare e rimultiplare l'intero flusso.
Gerarchie di multiplazione
Lo standard ITU-T prevede le seguenti gerarchie a livello di STM-N:
| Gerarchia | Bit rate associata |
|---|---|
| STM-0 (*) | 51 840 kbit/s |
| STM-1 | 155 520 kbit/s |
| STM-4 | 622 080 kbit/s |
| STM-16 (**) | 2 488 320 kbit/s |
| STM-64 (**) | 9 953 280 kbit/s |
| STM-256 (**) | 39 813 120 kbit/s |
(*) La gerarchia STM-0 è utilizzata solo nell'ambito SONET.
(**) A causa delle elevate capacità richieste, questo livello di multiplazione richiede come mezzo trasmissivo soltanto la fibra ottica (non è trasmissibile su rame sotto forma di segnale elettrico).
Sincronizzazione
L'elemento chiave che consente l'estrazione/inserzione diretta di un tributario è la sincronia del segnale tra tutti i nodi della rete, che operano tutti con la stessa frequenza e la stessa fase del sincronismo (clock). La sincronia è di tipo statistico, nel senso che su ciascun nodo sono tollerabili piccolissime variazioni di fase (jitter) o di frequenza rispetto agli altri nodi, tuttavia la devianza complessiva a livello di rete deve essere mediamente pari a zero. Le piccole variazioni locali possono col tempo influenzare la costruzione dell'AU, in particolare la posizione iniziale del segnale utile all'interno della trama multiplata: quando questa situazione si verifica, all'interno dell'AU pointer stesso viene inserita un'informazione preventiva che indica lo scostamento aggiuntivo rispetto al valore nominale dell'AU pointer (pointer justification), consentendo così ai nodi successivi di elaborare correttamente la trama ricevuta e di recuperare la sincronia statistica.
Per assicurare la sincronia a livello di rete, è necessaria la presenza di una sorgente di sincronismo esterna (Primary Reference Clock o PRC), fornita da un elemento di rete apposito (Clock Reference Unit o CRU) e dotata di caratteristiche di elevatissima qualità come definite dallo standard ITU-T G.811 [4]. Tale sorgente fornisce il sincronismo direttamente a uno degli elementi della rete che poi lo distribuisce tramite il segnale SDH stesso. Ciascun elemento di rete può quindi estrarre il sincronismo direttamente dal segnale, stabilizzarlo rispetto al riferimento tramite circuiti ad aggancio di fase per poi redistribuirlo a sua volta agli altri nodi adiacenti. Dato che il sincronismo viene ricavato dal segnale stesso, che è costituito da traffico arbitrario, è necessario evitare la presenza di lunghe sequenze di byte a valori fissi (esempio tutti "1" o tutti "0") che, non presentando transizioni, ostacolerebbero la corretta estrazione e favorirebbero le derive di frequenza e di fase. Per questo motivo, il contenuto di una trama SDH prima della trasmissione viene ricodificato (scrambling) secondo algoritmi che impediscono la generazione di lunghe sequenze di valori uguali e che garantiscono una distribuzione statisticamente uniforme di transizioni.
Anche i vari nodi, agendo da sorgenti secondarie, devono essere in grado di garantire un sincronismo di livello di qualità elevato e in caso di problemi al sincronismo principale, devono essere in grado di usare sorgenti alternative secondo quanto definito dai relativi standard normativi, in particolare dalla raccomandazione ITU-T G.813[5].
Dato che in una rete ciascun elemento riceve il clock dall'elemento precedente e lo distribuisce verso l'elemento successivo, è necessario evitare che nella distribuzione del sincronismo si creino anelli chiusi, ossia situazioni in cui un nodo riceve indietro tramite la rete un sincronismo distribuito da lui stesso. Questa condizione avrebbe effetti moltiplicativi sulle derive di frequenza e di fase, che verrebbero redistribuite amplificate su tutta la rete con un effetto a cascata fino a rendere il sincronismo completamente instabile, con conseguente impossibilità di estrarre correttamente il traffico che verrebbe quindi perduto.
Un'altra problematica deriva da situazioni in cui, per situazioni di guasto o di malfunzionamento, il sincronismo primario non sia più disponibile per una parte della rete. In tal caso, deve subentrare una sorgente alternativa di sincronismo che può essere un segnale locale o un segnale interno a ciascun singolo nodo[6]. Lo standard prevede la possibilità di scelta tra più sorgenti alternative, a qualità via via decrescenti, indicando come criterio di base la selezione della sorgente a qualità più elevata tra quelle disponibili[5]. Nel caso in cui si debba ricorrere alla sorgente secondaria, per poter mantenere la sincronia statistica anche la rete a valle deve adeguarsi a tale sorgente.
Per risolvere entrambe le problematiche (evitare l'instaurarsi di anelli di distribuzione chiusi e mantenere coerente la selezione del sincronismo), si utilizza un protocollo di servizio apposito, trasportato nel byte S1 della MSOH, che consente a tutti i nodi della rete di scambiarsi le opportune informazioni di stato e le istruzioni relative alla distribuzione e alla selezione della sorgente di sincronismo.
Il protocollo garantisce l'assenza di anelli determinando la topologia e comunicando ai nodi quali tratte possono essere usate per estrarre il sincronimso, vietando l'utilizzo di tratte che creerebbero un anello chiuso. Questo meccanismo consente anche di intervenire a fronte di guasti nella rete di sincronizzazione, per esempio determinando una via di distribuzione alternativa nel caso di indisponibilità di una tratta attiva.
I messaggi di stato governano anche la consistenza della qualità della sorgente utilizzata. Ogni nodo infatti comunica tramite il protocollo il livello di qualità di sorgente che sta utilizzando in un determinato istante in modo che gli altri nodi a valle si adeguino. Con gli stessi messaggi è possibile inoltre segnalare e coordinare la commutazione di parte o tutta la rete verso una stessa sorgente di sincronismo di qualità diversa, garantendo così il mantenimento della sincronia statistica anche a fronte di guasti che interessano solo porzioni della rete.
Meccanismi di protezione
Le informazioni di servizio contenute nell'overhead consentono di realizzare diverse tipologie di protezione del traffico. Gli schemi di protezione si possono applicare a livello dell'intero flusso SDH (aggregato) o dei singoli tributari, indipendentemente dalla topologia della rete sottostante.
Protezione di aggregato
La protezione di aggregato agisce a livello della Multiplex Section, ossia a livello dell'AUG-N, proteggendo quindi contemporaneamente tutti i tributari trasportati. Sono previsti schemi di protezione sia lineare che ad anello.
La protezione lineare MSP 1+1 (dove MSP sta per Multiplex Section Protection) è di tipo unidirezionale (la commutazione avviene esclusivamente sul nodo ricevente) e quindi non richiede protocolli per la gestione dello scambio. Lato trasmettitore, il segnale viene duplicato su due sezioni differenti che arrivano allo stesso nodo ricevitore tramite percorsi di rete (circuiti) separati e distinti. Il nodo ricevitore seleziona, tra i due circuiti in ingresso, quello privo di errori o guasti (con uno dei due circuiti definito come preferenziale in caso entrambi i segnali siano privi di problemi).
Le protezioni lineari MSP 1:1, 1:n e m:n sono di tipo bidirezionale (la commutazione avviene in contemporanea sia sul nodo ricevente che su quello trasmittente) e necessitano di un protocollo di sincronizzazione, trasmesso usando due byte specifici dell'overhead di trama SDH chiamati K1 e K2. Nel momento in cui un lato del collegamento non riceve più nessun segnale avverte il sistema remoto del malfunzionamento e quindi i due capi del collegamento di comune accordo commutano entrambi sulla via di riserva, sincronizzandosi tramite il protocollo. In questi schemi non è necessario trasmettere il segnale in doppio, dato che sarà cura dei due nodi selezionare tramite protocollo il circuito su cui inviare il segnale. Questo consente di usare il circuito di riserva per trasmettere del traffico diverso a bassa priorità, che si accetta di poter perdere in caso di intervento della protezione.
La protezione ad anello sfrutta le caratteristiche specifiche di questa topologia: nel caso di un guasto che rende non raggiungibile o non funzionante un nodo dell'anello, il traffico viene dirottato all'indietro sulle linee protecting sfruttando l'altro senso di rotazione dell'anello in modo da aggirare il punto di guasto. Questo tipo di protezione si applica solo al flusso aggregato (AU-4) ed è denominata MS-SPRing (Multiplex Section - Shared Protection Ring). Il corretto impiego richiede l'utilizzo di 4 fibre o 2 fibre a seconda che si preveda la protezione di tutto il traffico o solo del traffico ad alta priorità, usando in questo caso la sezione protecting per traffico di bassa priorità in condizioni di assenza di guasto. Anche questa protezione viene gestita da un protocollo trasmesso nell'overhead di trama e che distribuisce su ciascun nodo le informazioni di stato e su come dirottare il traffico correttamente in caso di guasto nell'anello (squelching tables), tenendo conto anche del traffico originato o terminato indipendentemente su ciascun nodo.
Anche per il protocollo MS-SPRing esistono alcune varianti, concepite apposta per il traffico intercontinentale su cavi transoceanici, che ottimizzano la protezione dirottando il traffico nel senso funzionante direttamente nel punto di ingresso nell'anello e non in adiacenza al punto di guasto, evitando così il triplo attraversamento dell'oceano che comporterebbe ritardi di trasmissione inaccettabili per la qualità del segnale telefonico.
Protezione di tributario
La protezione di tributario agisce a livello del Virtual Container, ossia del singolo tributario che trasporta un singolo flusso (VC4, 140Mb/S; VC3 per DS3 45 Mb/S e E3 34 Mb/S; VC12 per E1 2 Mb/s), proteggendo quindi ciascun tributario individualmente. L'unico schema previsto è la protezione di tipo lineare.
La protezione è di tipo SNCP (Sub Network Connection Protection), unidirezionale 1+1, quindi senza protocollo, e agisce quando il segnale si interrompe, è fortemente degradato o non corrisponde al segnale atteso.
Esistono diverse varianti di protezione SNCP caratterizzate essenzialmente dal meccanismo di rilevazione delle condizioni di malfunzionamento:
- SNCP-I (inherent) utilizzabile solo nei punti terminali del tributario, ossia nei nodi in cui il tributario viene inserito/rimosso che in base a questo meccanismo sono anche gli unici punti in grado di controllare lo stato del segnale.
- SNCP-N (non-intrusive) utilizzabile tra un punto terminale e un punto intermedio o tra due punti intermedi del tributario, ossia agisce anche nei nodi in cui il tributario è in configurazione passante (pass-through). Questo meccanismo richiede che il nodo intermedio sia in grado di rilevare le condizioni di malfunzionamento tramite un monitoraggio in sola lettura (per questo detto "non intrusivo") delle opportune informazioni trasportate in specifici byte dedicati dell'overhead del contenitore virtuale protetto. Nel punto di monitoraggio è possibile rilevare lo stato del segnale e operare quindi l'eventuale protezione.
- SNCP-S (segment) utilizzabile tra due punti qualsiasi del tributario (segmento o Tandem Connection), in particolare anche tra due punti intermedi, tramite un monitoraggio più sofisticato di informazioni appositamente iniettate nei punti terminali della protezione (Tandem Connection Termination), utilizzando specifici byte dedicati dell'overhead del contenitore virtuale protetto (Tandem Connection Monitoring). La differenza rispetto al meccanismo SNCP-N è che anche i nodi intermedi generano le informazioni di servizio necessarie e quindi operano anche in scrittura rispetto al POH.
Le protezioni di tipo SNCP-N e SNCP-S si usano tipicamente per flussi tributari che attraversano più reti SDH tra loro indipendenti e interconnesse (come avviene per esempio nel caso della telefonia internazionale o della telefonia tra due reti di due operatori indipendenti), in modo da consentire la protezione completa e indipendente delle singole tratte all'interno di ciascuna rete o sottorete.
La rete SDH

Gli elementi di rete SDH principali sono quattro:
- i terminali di linea, detti anche Customer Premise Extension (CPE), che rappresentano il punto di accesso della rete SDH. Questi elementi ricevono/trasmettono il segnale cliente (PDH, ATM, Ethernet) e lo inseriscono in una struttura di trama SDH, tipicamente di bassa gerarchia (STM-1 o STM-4), per poi collegarsi verso il resto della rete tipicamente tramite un collegamento lineare.
- gli Add-Drop Multiplexer (ADM): componenti di linea bidirezionali che hanno il compito di inserire ed estrarre i flussi cliente tributari a velocità di cifra inferiore rispetto alla portante. Possono essere utilizzati anche come apparati di accesso alla rete SDH. Tipicamente vengono utilizzati in configurazione ad anello o a stella e vengono impiegati per l'accesso alla rete e per creare in modo gerarchico i vari livelli di aggregazione e distribuzione del traffico (per esempio, anelli metropolitani di bassa-media capacità collegati ad anelli regionali di media-alta capacità).
- i rigeneratori: componenti intermedi passanti, in cui sia i flussi tributari che la Multiplex Section non vengono terminati. La funzione di questi elementi di rete è quella di rigenerare il segnale al fine di poter coprire lunghe distanze. Nel caso si trasmetta su fibra ottica eseguono una trasformazione del segnale da ottico ad elettrico e viceversa per la ritrasmissione dei dati eliminando o correggendo gli effetti negativi legati alla tratta percorsa (es. attenuazione, distorsione, sfasamenti, rumore indotto eccetera).
- i cross-connect: componenti ad elevata capacità di commutazione e in grado di gestire un numero molto elevato di flussi SDH. Tipicamente vengono utilizzati in configurazione di rete di tipo magliato e vengono impiegati per le dorsali telefoniche (backbone), interfacciandosi con gli anelli regionali per la raccolta e la distribuzione del traffico.
La struttura tipica di una rete SDH è quindi caratterizzata da un'impostazione di tipo gerarchico:
- un accesso a stella tramite i CPE, con convogliamento del traffico su SDH di bassa capacità (STM-1 o STM-4)
- un primo livello di aggregazione del traffico dei CPE convogliato su un anello di ADM di media capacità (STM-4 o STM-16)
- un secondo livello di aggregazione del traffico provenienti dai vari anelli di media capacità su un anello di ADM di alta capacità (STM-16 o STM-64)
- una rete di distribuzione magliata ad alta capacità realizzata tramite cross-connect
SDH di nuova generazione (Next Generation SDH)
Lo sviluppo di SDH fu originariamente dovuto alla necessità di trasportare più flussi plesiocroni insieme a altri gruppi di traffico voce a 64 kbit/s multiplato in PCM. La possibilità di trasportare traffico dati, a cominciare dal protocollo ATM era un'altra delle prime applicazioni. Per avere banda sufficiente per grossi traffici ATM, si sviluppò la tecnica della concatenazione contigua, nella quale il segnale viene distribuito su più Administrative Unit (AU-3 o AU-4) consecutive, secondo una filosofia di multiplazione inversa in modo da costituire un'Administrative Unit equivalente di capacità maggiore pari alla somma delle AU componenti. In questo modo è possibile trasportare simultaneamente su una rete SDH sia voce che dati.
Un problema della concatenazione contigua, tuttavia, è la sua mancanza di flessibilità e la scarsa ottimizzazione dell'utilizzo di banda a causa delle dimensioni delle AU. Per esempio, il trasporto di una connessione 100 Mbit/s Fast Ethernet richiede l'uso di una AU-4 (155 Mbit/s), comportando lo spreco di un terzo della banda disponibile. Inoltre, la concatenazione contigua, obbligando l'uso di AU-3 o AU-4 consecutivi che devono rimanere tali lungo tutto il circuito comporta di conseguenza l'obbligo per tutti i flussi di seguire lo stesso percorso e l'obbligo di usare ovunque, anche nei punti intermedi del circuito concatenato, apparati in grado di gestire correttamente la concatenazione contigua. Questo non sempre è possibile, soprattutto su una rete già in esercizio in cui le risorse necessarie potrebbero essere state già occupate in precedenza e comporta quindi un onere aggiuntivo di reingegnerizzazione della rete e di adeguamento degli apparati, operazioni tutte molto delicate e costose.
La concatenazione virtuale (abbreviata in VCAT) consente un approccio più flessibile, ricorrendo alla concatenazione dei singoli Virtual Container e non più delle Administrative Unit di bit rate più elevata, consentendo così di usare granularità migliori. La concatenazione virtuale consiste nel distribuire il traffico su più VC indipendenti ma associati logicamente e assemblati (o riassemblati) solo alle estremità del servizio; un byte opportuno del POH individua quali sono i VC che fanno parte di una concatenazione e la loro posizione sequenziale all'interno del gruppo concatenato, per poter ricostruire il flusso originale nel nodo di terminazione. I vantaggi della concatenazione virtuale sono una miglior ottimizzazione della banda rispetto alla bit rate del flusso da trasportare (per esempio, una Fast Ethernet può essere trasportata alla sua rate nominale usando 50 VC12 concatenati virtualmente senza alcuno spreco di banda) e soprattutto un più facile inserimento in una rete già in esercizio, venendo a cadere l vincoli della contiguità all'interno della trama SDH e dell'obbligo di seguire lo stesso percorso, grazie all'indipendenza dei VC (ogni contenitore può seguire un suo percorso separato e indipendente da quello degli altri contenitori del gruppo, offrendo così anche una migliore protezione contro i guasti fisici) e soprattutto non richiedendo di modificare gli apparati se non nei punti terminali di una concatenazione virtuale (nei punti intermedi del percorso i VC appartenenti a una VCAT non richiedono alcuna processazione specifica e sono quindi indistinguibili dai VC ordinari, per cui possono essere processati correttamente anche da apparati non in grado di gestire la concatenazione virtuale).
La concatenazione virtuale si associa sempre più a protocolli di mappatura, come il Generic Framing Procedure (GFP)[7], per mappare segnali asincroni o di banda qualsiasi all'interno di contenitori concatenati virtualmente tra di loro. In particolare questa tecnica si usa massicciamente per il trasporto di traffico Ethernet su SDH, alla base di tutti i servizi di nuova generazione (Triple Play: fonia, internet ad alta velocità e video on demand sulla stessa linea telefonica).
Un'ulteriore flessibilità è data dall'introduzione del protocollo Link Capacity Adjustment Scheme (LCAS)[8], che consente una variazione dinamica della banda dedicata, tramite incremento o diminuzione dei membri usati per una concatenazione virtuale, rispondendo alle richieste di aumento o riduzione di banda in tempi quasi istantanei (nell'ordine dei secondi). Questa tecnica si usa sia per aumentare o diminuire in modo permanente la banda utilizzata sia in modo temporaneo a fronte di guasti del singolo contenitore virtuale, in modo da redistribuire il traffico sugli altri contenitori del gruppo.
L'insieme dei protocolli SDH di nuova generazione che consentono di trasportare traffico Ethernet viene spesso indicato con Ethernet over SDH (EoS).
Progressivo abbandono a favore di altre tecnologie di trasporto
L'evoluzione delle reti di telecomunicazione, lo sviluppo di Internet, dei collegamenti diretti tra data center e del traffico streaming ha portato a un aumento progressivo del traffico a pacchetti e alla conseguente diminuzione a livelli residuali del traffico telefonico tradizionale sulle cui strutture si basa l'impianto dell'SDH, che presenta dei limiti di efficienza e di capacità di banda per quanto riguarda il trasporto diretto di traffico a pacchetti.[9]. ITU-T ha definito per questo scopo il nuovo standard di trasmissione OTN, in gran parte ispirato ai principi dell'SDH ma caratterizzato da una maggior flessibilità per quanto riguarda i tipi di traffico trasportabili.[9] Inoltre l'evoluzione tecnologia dei componenti ottici e lo sviluppo della trasmissione WDM consentono anche la trasmissione diretta su fibra ottica di traffico a pacchetto ad alta capacità senza bisogno di strutture di trama intermedie (IPoDWDM). Questo ha portato i principali operatori telefonici ad abbandonare via via l'impiego dell'SDH a favore delle nuove tecnologie, più efficienti e più scalabili nel tempo.[10][11]
Note
- ^ (EN) ITU-T Recommendation G.707 (01/07) – Network node interface for the synchronous digital hierarchy (SDH), International Telecommunication Union.
- ^ (EN) ITU-T Recommendation G.783 (03/06) – Characteristics of synchronous digital hierarchy (SDH) equipment functional blocks, International Telecommunication Union.
- ^ (EN) ITU-T Recommendation G.803 (03/00) – Architecture of transport networks based on the synchronous digital hierarchy (SDH), International Telecommunication Union. e (EN) ITU-T Recommendation G.803 (06/05) – G.803 (2000) Amendment 1, International Telecommunication Union.
- ^ ITU-T G.811, Timing Characteristics of Primary Reference Clocks
- ^ a b ITU-T G.813, Timing characteristics of SDH equipment slave clocks (SEC)
- ^ ITU-T G.812, Timing requirements of slave clocks suitable for use as node clocks in synchronization networks
- ^ ITU-T G.7041/Y.1303 (08/05) Generic Framing Procedure, 2005
- ^ ITU-T G.7042/Y.1305 (03/06) Link capacity adjustment scheme (LCAS) for virtual concatenated signals, 2006
- ^ a b (EN) Vinay Rathore, The changing role of SONET/SDH multiservice networks, in Lightwave, 1º agosto 2006.
- ^ Daniele Franceschini, Fabrizio Gagliardi, Alessandra Michelini e Maurizio Siviero, Il decommissioning dei servizi e del control layer a supporto della network transformation (PDF), in Notiziario Tecnico, n. 3, Telecom Italia, 2014, pp. 86-99.
- ^ (EN) Telefónica tackles video growth with IP-MPLS network, su gazettabyte.com, 25 ottobre 2016.
Bibliografia
- G.707/Y.1322 (01/07) Network node interface for the synchronous digital hierarchy (SDH), ITU-T, Ginevra, 2007
- G.783 (03/06) Characteristics of synchronous digital hierarchy (SDH) equipment functional blocks, ITU-T, Ginevra, 2006
- G.803 (03/00) Architecture of transport networks based on the synchronous digital hierarchy (SDH), ITU-T, Ginevra, 2000
- G.803 (2000) Amendment 1 (06/05), ITU-T, Ginevra, 2005
- G.811 (09/97) Timing Characteristics of Primary Reference Clocks, ITU-T, Ginevra, 1997
- G.812 (06/04) Timing requirements of slave clocks suitable for use as node clocks in synchronization networks, ITU-T, Ginevra, 2004
- G.813 (03/03) Timing characteristics of SDH equipment slave clocks (SEC), ITU-T, Ginevra, 2003
- G.813 (2003) Corrigendum 1 (06/05), ITU-T, Ginevra, 2005
- G.7041/Y.1303 (10/08) Generic Framing Procedure, ITU-T, Ginevra, 2008
- G.7042/Y.1305 (03/06) Link capacity adjustment scheme (LCAS) for virtual concatenated signals, ITU-T, Ginevra, 2006
Voci correlate
Collegamenti esterni
- (EN) Sito ufficiale ITU (International Telecommunication Union), su itu.int.