Fentanyl
| Fentanyl | |
|---|---|
![]() | |
![]() | |
| Nome IUPAC | |
| N-fenil-N-[1-(2-feniletil)piperidin-4-il]propanammide | |
| Caratteristiche generali | |
| Formula bruta o molecolare | C22H28N2O |
| Massa molecolare (u) | 336,471 |
| Numero CAS | |
| Numero EINECS | 207-113-6 |
| Codice ATC | N01 |
| PubChem | 3345 |
| DrugBank | DBDB00813 |
| SMILES | CCC(=O)N(C1CCN(CCc2ccccc2)CC1)c1ccccc1 |
| Proprietà chimico-fisiche | |
| Temperatura di fusione | 87,5 |
| Dati farmacocinetici | |
| Biodisponibilità | 92% (sottocutanea) 89% (intranasale) 50% (sublinguale) 33% (orale) |
| Metabolismo | epatico |
| Emivita | 7 ore (periodo 3-12 ore) |
| Escrezione | Urina |
| Indicazioni di sicurezza | |
| Simboli di rischio chimico | |
| Frasi R | 26/27/28-42/43 |
| Frasi S | 36/37/39-45 |
Il fentanyl, noto anche come fentanil o fentanile, è un farmaco approvato (tra gli altri dall'FDA americana e dall'EMA europeo) ad alto potere analgesico. Appartiene alla classe delle 4-anilidopiperidine, oppioide prodotto da sintesi chimica. Si tratta di un agonista del recettore μ per gli oppioidi; per contrastare i suoi effetti viene utilizzato il naloxone o il suboxone. Il fentanyl è circa 100 volte più potente della morfina: 100 μg di fentanyl equivalgono in attività analgesica approssimativamente a 125 mg di petidina, con una rapida insorgenza e breve durata d'azione.
Il farmaco, che ha una LD50 di 3,1 mg/kg nei ratti e una LD50 di 0,03 mg/kg nelle scimmie, storicamente è stato utilizzato per trattare il dolore cronico ed è comunemente usato come anestetico prima di interventi chirurgici o manovre invasive. I principali nomi commerciali del fentanil sono Dogetic, Sublimaze, Actiq, Durogesic, Duragesic, Fentanest, Effentora, Onsolis, Instanyl, Abstral e Vellofent.
Storia
Il fentanyl fu sintetizzato dal dottor Paul Janssen nel 1960, grazie alla sintesi, realizzata alcuni anni prima, della petidina.[1] Janssen riuscì a sviluppare il fentanyl analizzando alcune sostanze strutturalmente analoghe e correlate alla petidina, dotata anch'essa di attività oppioide.[2]
L'uso diffuso di fentanyl ha innescato la produzione di fentanyl citrato (il sale del farmaco, formato dalla combinazione di acido citrico e fentanyl in un rapporto stechiometrico di 1:1). Fentanyl citrato intorno al 1960 è entrato a far parte della pratica clinica come anestetico generale col nome commerciale di Sublimaze.
In seguito molti altri analoghi del fentanyl sono stati introdotti nella pratica medica, e tra questi sufentanil, alfentanil, remifentanil e lofentanil, ancora più potenti, fino a 10 000 volte la morfina, a partire da 1 μg.
A metà degli anni '90 il fentanyl comparve per le cure palliative con l'introduzione nella pratica clinica del cerotto a base di fentanyl, denominato Durogesic. Nel decennio successivo fu introdotto il primo "lecca-lecca" a base di fentanyl, una formulazione oromucosale chiamata Actiq, e successivamente delle compresse orosolubili denominate Fentora. Grazie alla possibilità di rilascio controllato tramite cerotti transdermici, il fentanyl è divenuto attualmente l'oppiaceo sintetico più utilizzato in clinica.
Sono in via di sviluppo diverse nuove modalità di erogazione, tra cui uno spray sublinguale per i pazienti con cancro.[3]
Chimica
Sintesi
La sintesi del Fentanyl può essere realizzata mediante una delle quattro principali vie: Quella di Janessen, Siegfried, Gupta[4] o con il metodo di Suh.
Janssen

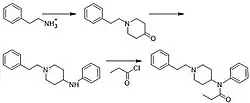
La sintesi del fentanyl (N -fenil- N - (1-fenetile-4-piperidinil) propanamide) è stata realizzata dalla Janssen Pharmaceuticals in tre fasi, a partire dal 4-piperidinone cloridrato. La sequenza ha inizio con la N-alchilazione del 4-piperidinone cloridrato con il 2-feniletilbromuro a dare N-fenetil-4-piperidinone (NPP). La tappa successiva comprende l'amminazione riduttiva dell'NPP avvalendosi di anilina e boroidruro di sodio a dare a 4-anilino-N-fenetilpiperidina (ANPP). L'ultima tappa comporta la N-acilazione dell'ammina terziaria con anidride propionica a formare il prodotto finale, fentanyl.[5]
Siegfried
Il metodo di Siegfried impiega la sintesi dell'N-fenetil-4-piperidone, questo composto viene successivamente fatto reagire con Anilina per formare una base di Shiff che viene poi ridotta e fatta reagire con il Cloruro di Propionile ottenendo come prodotto finale il Fentanyl.[6]

Suh
La sintesi di Suh è una sintesi totale che fa a meno dei precursori creando in-situ l'anello saturo.[7]
Farmacocinetica
Dopo la somministrazione endovenosa il fentanyl si distribuisce con grande rapidità nei tessuti biologici. Il farmaco si accumula nel muscolo scheletrico e nel tessuto adiposo e viene rilasciato lentamente nel sangue. L'emivita è variabile tra le 3 e le 12 ore. Il volume di distribuzione di fentanyl è di 4 L/kg. Il fentanyl viene metabolizzato principalmente a livello epatico. Il farmaco subisce un'elevata clearance di primo passaggio. L'eliminazione avviene prevalentemente per via urinaria, sotto forma di metaboliti e solo un 10% circa come farmaco immodificato. Circa il 9% di una dose somministrata per via endovenosa si ritrova nelle feci, soprattutto come metaboliti.
Quando il farmaco viene somministrato per via endovenosa, l'inizio dell'azione è pressoché immediato. Il massimo effetto analgesico e depressivo respiratorio viene raggiunto nel giro di alcuni minuti. La durata d'azione dell'analgesia è di 30-60 minuti, dopo una dose endovenosa singola di 100 µg (uguali a 0,1 mg). Somministrato per via intramuscolare, l'inizio dell'azione del fentanyl si osserva dopo circa 7-8 minuti. La durata dell'azione è maggiore e raggiunge le 1-2 ore.
Si deve tenere presente che la durata della depressione respiratoria indotta da fentanyl può essere decisamente più lunga dell'effetto analgesico. Il fentanyl ha la proprietà di rallentare la frequenza respiratoria, e il picco della depressione respiratoria di una singola dose per via endovenosa si nota tra i 5 e i 15 minuti dopo l'iniezione.

Farmacodinamica
Il farmaco ha effetto simile a quello degli altri oppiacei, specialmente nelle compresse sublinguali, il cui uso illecito è schiacciare le compresse per poi sniffarle. Più alto è il dosaggio, più alto è il rischio di un'overdose, e soprattutto dell'instaurarsi di una tolleranza. Una dose da 800 µg di fentanyl equivale a 200 mg di morfina pura e a 35 mg di metadone. Il fentanyl, essendo, come già detto, più potente dei due principi citati, reagisce al dolore in tempi più limitati (30 secondi a confronto del picco max raggiunto da 2 ore di metadone o 25/35 minuti della morfina in compresse).
Il fentanyl è un agonista puro degli oppiacei e, come tale, la sua principale azione terapeutica è rappresentata dall'analgesia. La molecola fornisce la maggior parte degli effetti tipici di altri oppiacei, in particolare, oltre all'analgesia, l'ansiolisi, l'euforia, la sensazione di benessere, la stipsi e la miosi, la soppressione della tosse e la depressione respiratoria. Questi effetti sono determinati dall'agonismo per i recettori oppioidi μ. La sua maggior potenza rispetto alla morfina dipende in gran parte dalla sua elevata lipofilia. A causa di questa, può penetrare più facilmente nel sistema nervoso centrale. Come per altri analgesici agonisti puri, all'aumentare della dose si assiste a un aumento dell'attività analgesica. Non esiste una vera dose massima predefinita, in quanto il limite dell'efficacia analgesica è imposto solo dalla comparsa di eventuali effetti collaterali, i più gravi dei quali includono la sonnolenza e la depressione respiratoria.
Durante l'astinenza da fentanyl è consigliabile, nel caso, se ne facesse uso orale per poi passare a quello topico, dei cerotti; nei giorni di mezzo dell'astinenza possono presentarsi forti ritenzioni urinarie; quando accade è meglio aggiungere anche la dose orale per qualche giorno, per evitare la ritenzione urinaria. L'utilizzo orale non dovrà superare i 4 giorni.
Gli effetti collaterali più importanti (oltre il 10% dei pazienti) includono diarrea, nausea, costipazione, secchezza delle fauci, sonnolenza, confusione, debolezza e sudorazione.
Con minore frequenza (3-10% dei pazienti) si registrano dolore addominale, cefalea, affaticamento, anoressia e perdita di peso, vertigini, nervosismo, allucinazioni, ansia, depressione, sintomi simil-influenzali, dispepsia, dispnea (respiro corto), ipoventilazione, apnea e ritenzione urinaria. Fentanyl è stato anche associato all'afasia.[8][9]
Pur essendo un analgesico più potente della morfina, il fentanyl tende a indurre minore senso di nausea e minore rilascio di istamina, e di conseguenza meno prurito.[10]
Come per altri farmaci liposolubili, la farmacodinamica di fentanyl non è di facile interpretazione: non ci sono dati sicuri sulla farmacodinamica di fentanyl nei pazienti anziani, nei soggetti cachettici o debilitati, ossia i tipi di paziente che spesso ricorrono a fentanyl per via transdermica. Questo potrebbe spiegare il crescente numero di segnalazioni, registrate fin dagli anni 1970, di un grave effetto avverso, la depressione respiratoria.[11][12][13][14][15][16][17] Nel 2006 l'agenzia statunitense Food and Drug Administration ha tenuto sotto osservazione alcune morti sospette causate da arresti respiratori e/o cardiaci. Solo nel settembre 2008 l'agenzia del farmaco del Regno Unito ha messo in guardia sui possibili rischi correlati all'uso di fentanyl.[18]
Il fentanyl determina un rilascio di istamina, il quale talvolta si accompagna a vasodilatazione periferica. Altre manifestazioni del rilascio di istamina includono il prurito, il rash cutaneo, l'iperemia congiuntivale (occhi rossi), la sudorazione e l'ipotensione ortostatica.
Analgesia
Gli effetti analgesici del fentanyl sono correlati alle sue concentrazioni ematiche. La concentrazione efficace e la tossicità aumentano con l'aumentata tolleranza acquisita dagli oppioidi. Tuttavia il grado di tolleranza varia da individuo a individuo. Ne consegue che la dose di fentanyl dovrebbe essere sempre titolata individualmente alla ricerca dell'effetto desiderato. Questo potrebbe portare anche al rischio di problemi cardiovascolari.
Effetti sul sistema nervoso centrale
Gli effetti del fentanyl sul sistema nervoso centrale sono diversificati. Non è noto il preciso meccanismo su cui si basa l'azione analgesica, anche se la molecola è notoriamente un'agonista del recettore μ per gli oppiacei. Specifici recettori per gli oppioidi endogeni sono stati identificati in tutto il cervello e nel midollo spinale.
L'azione di repressione del riflesso della tosse è anch'essa dovuta a un effetto diretto sul centro della tosse nel midollo. Gli effetti antitussigeni si registrano a dosaggi inferiori a quelli normalmente richiesti per indurre analgesia. Il fentanyl provoca inoltre miosi, ma non è chiaro tramite quale interazione.
Effetti sul sistema gastrointestinale
Il fentanyl provoca una ridotta motilità gastrointestinale e aumento del tono della muscolatura liscia di stomaco e duodeno. La digestione del cibo viene ritardata e le contrazioni propulsive peristaltiche del piccolo intestino e del colon vengono ridotte.
Nel contempo l'ipertono della muscolatura liscia intestinale può comportare l'insorgenza di stipsi. È stata inoltre registrata una riduzione delle secrezioni gastriche, biliari e pancreatiche, con tendenza allo spasmo dello sfintere di Oddi.
Effetti sul sistema respiratorio
La depressione respiratoria indotta dal farmaco è probabilmente dovuta a un'azione diretta sui centri respiratori del tronco cerebrale, che vengono depressi nella loro attività di stimolazione elettrica e vedono inoltre una ridotta reattività agli aumenti dell'anidride carbonica. Il rischio di tale evenienza è minore nei pazienti in terapia cronica con oppiacei che hanno sviluppato tolleranza agli effetti di queste sostanze. Durante la fase di titolazione del farmaco la comparsa di sonnolenza deve essere vista come un evento sentinella, precursore della depressione respiratoria. Il picco della depressione respiratoria può già comparire da 15 a 30 minuti dall'inizio dell'assunzione di fentanyl e può persistere per diverse ore.
Va tenuto presente che alcuni soggetti possono sperimentare depressione respiratoria grave o fatale anche alle normali dosi raccomandate. Il fentanyl, se somministrato rapidamente per via endovenosa a dosi molto elevate può interferire con la respirazione in quanto provoca rigidità dei muscoli della respirazione.
Usi clinici
Il fentanyl per via endovenosa è ampiamente utilizzato per l'anestesia e l'analgesia, più spesso in sale operatorie e reparti di terapia intensiva. Viene spesso somministrato in combinazione con una benzodiazepina, come ad esempio midazolam (in genere preferito al diazepam per la più breve emivita) per produrre analgesia durante il periodo di anestesia. Estremamente comune è il suo utilizzo nell'induzione dell'anestesia associandolo a un agente ipnotico come propofol.

Se ne sfrutta l'azione analgesica anche in molte procedure diagnostiche o terapeutiche, quali ad esempio l'endoscopia, il cateterismo cardiaco, la chirurgia orale e altre. Inoltre il fentanyl (in genere per via transdermica) è spesso usato nel trattamento del dolore cronico e in particolare del dolore neoplastico.
È stato utilizzato anche in endodonzia per migliorare l'azione anestetica locale durante il trattamento canalare.[19]
Formulazioni transdermiche
Il fentanyl è disponibile come cerotto transdermico per il trattamento e la gestione del dolore cronico grave (Durogesic / Duragesic / Matrifen). Il cerotto rilascia gradualmente il principio attivo che tende ad accumularsi nei tessuti adiposi dell'organismo. Da questi siti di deposito, successivamente, il farmaco viene rilasciato lentamente nel sangue per un periodo di tempo che può raggiungere le 72 ore, consentendo così un sollievo dal dolore per un lungo periodo.
I cerotti transdermici di fentanyl (commercializzati da numerose società farmaceutiche come medicinale equivalente) sono prodotti in diversi formati: cerotti da 5,25 cm² caratterizzati da una velocità di rilascio di 12,5 µg/ora, cerotti da 10,5 cm² con velocità di rilascio di 25 µg/ora, 21,0 cm² e rilascio di 50 µg/ora, 31,5 cm² e rilascio di 75 µg/ora, 42 cm² e rilascio di 100 µg/ora.
Il dosaggio, come si è visto, varia al variare delle dimensioni del cerotto, in quanto il tasso di assorbimento transdermico, a una determinata temperatura cutanea, è generalmente costante. Il tasso di assorbimento dipende da una serie di fattori: la temperatura corporea, le caratteristiche individuali della pelle, la quantità di grasso corporeo e il posizionamento del cerotto stesso.
I diversi sistemi di rilascio utilizzati dai vari produttori possono determinare un diverso tasso di assorbimento individuale. Il cerotto tipicamente avrà effetto, in condizioni normali, nel giro di 8-12 ore. Per questo motivo i cerotti di fentanyl sono spesso prescritti in associazione ad altri oppiacei (ad esempio la morfina, il metadone, l'idromorfone e l'ossicodone) per gestire adeguatamente il dolore acuto. Nel contesto delle cure palliative, fentanil per via transdermica ha un ruolo preciso. Viene infatti utilizzato in:
- pazienti già stabilizzati con altri oppiacei che hanno persistenti problemi di deglutizione e non possono utilizzare o tollerare la via parenterale o quella sottocutanea;
- pazienti con insufficienza renale da moderata (clearance della creatinina compresa tra 30 e 50 mL/min) a grave (clearance della creatinina < 30 mL/min);
- pazienti che hanno manifestato fastidiosi effetti negativi con l'assunzione di morfina, idromorfone oppure ossicodone.
Esistono due tipi di cerotti: il cerotto a riserva e il cerotto a matrice. Le due tipologie di cerotto non differiscono per farmacocinetica o effetti clinici (Nelson & Schwaner, 2009). Dopo l'applicazione transdermica, la concentrazione terapeutica del farmaco nel siero viene raggiunta tra le 12 e le 16 ore, mentre la concentrazione massima dopo 36 ore e dipende dalla quantità di principio attivo presente all'interno del cerotto. L'emivita è di circa 17 ore (Nelson & Schwaner, 2009).[20]
Formulazione per somministrazione oromucosale

In commercio esiste una formulazione solida di fentanyl citrato collocata su un bastone a forma di lecca lecca (Actiq), che va posizionato in bocca, appoggiato contro la guancia e poi ritmicamente mosso all'interno del cavo orale utilizzando l'apposito applicatore. Questo tipo di azione permette di far sciogliere lentamente in bocca il prodotto massimizzandone l'assunzione oromucosale.
La formulazione va tenuta in bocca e non masticata, perché l'uso corretto permette il rapido rilascio di fentanyl nell'organismo. Infatti l'assorbimento di fentanyl attraverso la mucosa della bocca avviene in modo decisamente più rapido rispetto all'assimilazione sistemica, secondaria a ingestione, con assorbimento da parte del tratto gastrointestinale. Infatti, pur in presenza di una buona capacità di assorbimento da parte dell'intestino tenue, va tenuto presente l'importante metabolismo di primo passaggio, il quale porta a una biodisponibilità orale del 33% circa.
I soggetti con problemi di secchezza delle fauci possono avvalersi del prodotto avendo l'accortezza di inumidire la mucosa della bocca con poche gocce d'acqua.
La formulazione oromucosale va consumata nell'arco di circa 15 minuti.
Se il consumatore dovesse mostrare segni marcati di effetti di natura oppioide, in primo luogo sonnolenza, prima dell'esaurimento completo dell'unità, è doveroso interrompere immediatamente l'assunzione rimuovendo il prodotto dalla bocca e valutare la possibilità di ridurre in futuro il dosaggio o il tempo di esposizione.
La formulazione oromucosale è destinata a individui tolleranti agli oppioidi e si è dimostrata efficace nel trattamento del dolore neoplastico. È utile anche per il dolore acuto grave che si può manifestare in soggetti sofferenti di gravi patologie osteostrosiche, di dolore lombare, in alcuni casi di neuropatia, di artrite acuta e in altri casi di dolore cronico di natura non neoplastica.
Un'interessante applicazione della formulazione oromucosale è il suo possibile utilizzo nei piccoli pazienti pediatrici, coinvolti in traumi e per i quali si pone un problema di gestione del dolore. Questa formulazione permette spesso un approccio più "soft", evitando in prima istanza l'incannulamento di una vena periferica, permettendo dunque una maggiore compliance del piccolo paziente. Per contro si rende necessario un attento monitoraggio del bambino e un'attenta titolazione della dose terapeutica.
La formulazione è disponibile in sei dosaggi: pastiglie da 200 µg, da 400 µg, da 600 µg e 800 µg cui si aggiungono dosaggi da 1 200 µg e 1 600 µg. Le confezioni commerciali contengono da un minimo di 3 a un massimo di 15 pastiglie. Esistono anche formulazioni prodotte come medicinale equivalente.
Formulazione in spray nasale
Recentemente si sono resi disponibili in commercio formulazioni per spray nasale. A ogni erogazione nasale vengono nebulizzati in una narice 50 µg di principio attivo. La dose può essere progressivamente aumentata fino a raggiungere un dosaggio sufficiente ad assicurare un deciso miglioramento della sintomatologia dolorosa. Se i risultati ottenuti non sono considerati soddisfacenti, è possibile somministrare nuovamente la stessa quantità di farmaco ma a non meno di 10 minuti di distanza dalla prima erogazione. In commercio esistono formulazioni di spray nasale di diverso dosaggio, con concentrazioni disponibili pari a 50 µg, 100 µg e 200 µg di principio attivo. Gli spray nasali e alcune formulazioni con appositi inalatori possono provocare una risposta rapida, ma la rapida insorgenza di elevate concentrazioni ematiche può rischiare di compromettere il profilo di sicurezza del farmaco. Un'ultima considerazione è inerente all'elevato costo di questi apparecchi. La confezione di 10 dosi da 50 µg ha un costo al pubblico di circa 107 €, contro un costo di circa 43 € per le compresse orosolubili (4 compresse) e un costo di circa 3 € per 5 fiale di fentanyl da 100 µg.
Derivati
L'industria farmaceutica ha sviluppato diversi derivati del fentanyl:
- Alfentanil (nome commerciale Alfenta), una molecola dotata d'attività analgesica e durata d'azione ultra-breve (da 5 a 10 minuti).
- Sufentanil (nome commerciale Sufenta), un potente analgesico (da 5 a 10 volte più potente del fentanyl) utilizzato in alcune particolari procedure chirurgiche, in particolare per soggetti pesantemente tolleranti o dipendenti dagli oppioidi. L'affinità della molecola per i suoi siti di legame è così elevata che, teoricamente, è sufficiente per rompere il blocco determinato dalla buprenorfina (una sostanza agonista-antagonista) e alleviare il dolore causato da un trauma acuto in pazienti che assumono alti dosaggi di buprenorfina.
- Remifentanil (nome commerciale ULTIVA), attualmente la molecola oppioide dotata della più breve durata d'azione. Remifentanil ha il vantaggio di un rapido offset (cessazione dell'azione), perfino quando viene utilizzato per infusioni prolungate nel tempo.
- Carfentanil (nome commerciale Wildnil) è un analogo di fentanyl, ma dotato di una potenza analgesica pari a 10 000 volte quella della morfina. Questo farmaco ha trovato largo impiego nella pratica veterinaria per immobilizzare alcuni animali di grandi dimensioni, come ad esempio gli elefanti.
- Lofentanil un altro analogo di fentanyl dotato di potenza leggermente superiore a quella del carfentanil.

Utilizzo come sostanza stupefacente
Il fentanyl è una delle droghe più acquistate sul mercato clandestino delle droghe nel dark web.[21] La droga è acquistata prevalentemente in Cina, dove si situa il maggior numero di fornitori di oppioidi sintetici. Infatti, la principale fonte di produzione di fentanyl al mondo è l'Asia.[22]
Tuttavia, il luogo che ha vissuto la più lunga "epidemia" di fentanyl al mondo è l'Estonia.
Morti per overdose da fentanyl
Dal 2011 in poi, negli Stati Uniti d'America si è sviluppata una vera e propria "epidemia di fentanyl", che ha portato a oltre 100mila decessi (di cui 71.238 decessi solo nel 2021[23]),[24] e alla creazione delle cosiddette "zombieland".[25] A Chicago e ad Atlanta, dove il problema è in proporzioni più gravi, il fentanyl è la causa dell'81% delle morti per overdose di farmaci. Lo stesso vale per il Bronx, borough più povero di New York, in cui le morti si riscontrano soprattutto nella popolazione afroamericana, la più povera, che è passata da 52 a 62 decessi ogni 100mila persone. Infatti le autorità sanitarie USA ritengono che ci sia uno stretto legame tra la povertà di un quartiere e l'abuso di oppioidi. Nelle zone in cui sono presenti molti senzatetto, infatti, gli episodi di overdose sono aumentati del 21 per cento.[26]

Le autorità stimano che, in seguito alle restrizioni sulle prescrizioni di oppioidi, nel 2015 l'assunzione di fentanyl e altre simili droghe abbia causato 9 580 morti soltanto negli Stati Uniti, un aumento del 73% rispetto al 2014. Si stima inoltre che il numero di morti si aggiri sui 59 000 nel 2016[27] e di 120 000 in due anni (2017-2018),[28] mentre nel 2010 le morti per overdose da oppioidi erano 21 088; dopo le varie accuse contro i farmaci oppioidi, specialmente OxyContin (ossicodone cloridrato), e la riduzione significativa delle prescrizioni, le morti sono drasticamente aumentate; inoltre molti pazienti con dolore hanno accusato un sottotrattamento terapeutico.
Si stima che circa il 70% delle morti per overdose negli Stati Uniti nel 2021 (107.622, record assoluto e +15% sul 2020) siano state causate da fentanyl.[29] La tendenza è confermata dal periodo marzo 2022 - marzo 2023, che vede un aumento a 111.355 morti di overdose, con una responsabilità del fentanyl che rimane del 70%.[30]
Morte di personaggi famosi
Per via del fentanyl sono morte diverse celebrità del mondo dello spettacolo, quasi tutte statunitensi. Tra questi figurano:
- Il cantante Prince, morto il 26 aprile 2016, secondo il rapporto dei medici per via di un'overdose da fentanyl;[31]
- Il rapper Coolio, morto per un'overdose da fentanyl mescolato all'eroina;[32]
- Il rapper Lil Peep, morto a 21 anni;[33]
- Mac Miller, morto a 26 anni;[34]
- L'attore Angus Cloud, morto a 25 anni;[35]
- Il bassista Paul Gray, morto a 38 anni per un’overdose da fentanyl mescolato con morfina;[36]
- Duke Gadd, figlio del batterista Steven Gadd e batterista a sua volta.[37]

Prevenzione
Nel periodo compreso tra il maggio 2019 e il maggio 2020 solo negli Stati Uniti si sono verificati 81.230 decessi per overdose di farmaci, il numero più alto di overdose di farmaci in un anno mai registrato in un Paese solo.
Per contrastare tale aumento, l'ente americano Centers for Disease Control and Prevention (CDC) ha svolto diverse campagne di sensibilizzazione sia per via pubblicitaria, sia nelle scuole. Un avviso di Health Alert Network (HAN), che fornisce informazioni vitali e urgenti in caso di incidente o pericolo, è stato emesso nell'ottobre 2015.[38] Un altro avviso HAN è stato emesso nel luglio 2018, per aumentare la consapevolezza riguardo al crescente numero di decessi dovuti all'abuso di fentanyl e ai cocktail che vengono creati frequentemente con altri farmaci non oppioidi.[39]
Un avviso HAN (Health Alert Network advisory) del dicembre 2020 ha avvertito che un altro fattore ad aver aggravato la crescita dei decessi per fentanyl è stata la pandemia di COVID-19:
Gli aumenti esponenziali dei decessi per overdose di droga negli Stati Uniti sono principalmente dovuti al rapido aumento dei decessi per overdose di fentanyl prodotto illecitamente; una preoccupante accelerazione della curva è stata registrata nel periodo da marzo 2020 a maggio 2020, in concomitanza con l'attuazione di misure per contrastare la pandemia di COVID-19; aumenti significativi anche dei decessi per overdose di metanfetamina.[40]
Note
- ^ TH. Stanley, The history and development of the fentanyl series., in J Pain Symptom Manage, vol. 7, 3 Suppl, aprile 1992, pp. S3-7, PMID 1517629.
- ^ J. Black, P. Janssen, A personal perspective on Dr. Paul Janssen., in J Med Chem, vol. 48, n. 6, marzo 2005, pp. 1687-8, DOI:10.1021/jm040195b, PMID 15771410.
- ^ Long Term Safety and Efficacy Study of Fentanyl Sublingual Spray for the Treatment of Breakthrough Cancer Pain, su clinicaltrials.gov, Clinicaltrials.gov/. URL consultato il 12 aprile 2013..
- ^ (EN) Pradeep Kumar Gupta, Kumaran Ganesan e Ambuja Pande, A convenient one pot synthesis of fentanyl, in Journal of Chemical Research, vol. 2005, n. 7, 2005-07, pp. 452-453, DOI:10.3184/030823405774309078. URL consultato il 27 febbraio 2025.
- ^ Paul A. J. Janssen, 1-aralkyl-4-(n-aryl-carbonyl amino)-piperidines and related compounds, US3164600A, 5 gennaio 1965. URL consultato il 27 febbraio 2025.
- ^ Synthesis of Fentanyl, su Rhodium, Siegfried. URL consultato il 24 gennaio 2023 (archiviato dall'url originale il 5 agosto 2022).
- ^ (EN) Young-Ger Suh, Kyung-Ho Cho e Dong-Yoon Shin, Total synthesis of fentanyl, in Archives of Pharmacal Research, vol. 21, n. 1, 1998-02, pp. 70-72, DOI:10.1007/BF03216756. URL consultato il 27 febbraio 2025.
- ^ Ducharme MP, Munzenberger P, Severe withdrawal syndrome possibly associated with cessation of a midazolam and fentanyl infusion, in Pharmacotherapy, vol. 15, n. 5, 1995, pp. 665-8, PMID 8570440.
- ^ Ray BR, Baidya DK, Gregory DM, Sunder R, Intraoperative neurological event during cesarean section under spinal anesthesia with fentanyl and bupivacaine: Case report and review of literature, in J Anaesthesiol Clin Pharmacol, vol. 28, n. 3, luglio 2012, pp. 374-7, DOI:10.4103/0970-9185.98349, PMC 3409953, PMID 22869950. URL consultato il 12 aprile 2013.
- ^ Mayes S, Ferrone M, Fentanyl HCl patient-controlled iontophoretic transdermal system for the management of acute postoperative pain, in Ann Pharmacother, vol. 40, n. 12, dicembre 2006, pp. 2178-86, DOI:10.1345/aph.1H135, PMID 17164395. URL consultato il 12 aprile 2013.
- ^ Smydo J, Delayed respiratory depression with fentanyl, in Anesth Prog, vol. 26, n. 2, 1979, pp. 47-8, PMC 2515983, PMID 295585.
- ^ van Leeuwen L, Deen L, Helmers JH, A comparison of alfentanil and fentanyl in short operations with special reference to their duration of action and postoperative respiratory depression, in Anaesthesist, vol. 30, n. 8, Ago 1981, pp. 397-9, PMID 6116461.
- ^ Brown DL, Postoperative analgesia following thoracotomy. Danger of delayed respiratory depression, in Chest, vol. 88, n. 5, novembre 1985, pp. 779-80, DOI:10.1378/chest.88.5.779, PMID 4053723.
- ^ Bülow HH, Linnemann M, Berg H, Lang-Jensen T, LaCour S, Jonsson T, Respiratory changes during treatment of postoperative pain with high dose transdermal fentanyl, in Acta Anaesthesiol Scand, vol. 39, n. 6, Ago 1995, pp. 835-9, DOI:10.1111/j.1399-6576.1995.tb04180.x, PMID 7484044.
- ^ Nilsson C, Rosberg B, Recurrence of respiratory depression following neurolept analgesia, in Acta Anaesthesiol Scand, vol. 26, n. 3, Giu 1982, pp. 240-1, DOI:10.1111/j.1399-6576.1982.tb01762.x, PMID 7113633.
- ^ McLoughlin R, McQuillan R, Transdermal fentanyl and respiratory depression, in Palliat Med, vol. 11, n. 5, Set 1997, p. 419, DOI:10.1177/026921639701100515, PMID 9472602.
- ^ Regnard C, Pelham A, Severe respiratory depression and sedation with transdermal fentanyl: four case studies, in Palliat Med, vol. 17, n. 8, Dic 2003, pp. 714-6, PMID 14694924.
- ^ MHRA, Drug safety advice: Fentanyl patches: serious and fatal overdose from dosing errors, accidental exposure, and inappropriate use, in Drug Safety Update, vol. 2, n. 2, Set 2008, p. 2 (archiviato dall'url originale il 1º gennaio 2015).
- ^ EA. Elsharrawy, YM. Elbaghdady, A double-blind comparison of a supplemental interligamentary injection of fentanyl and mepivacaine with 1:200,000 epinephrine for irreversible pulpitis., in J Pain Symptom Manage, vol. 33, n. 2, febbraio 2007, pp. 203-7, DOI:10.1016/j.jpainsymman.2006.07.020, PMID 17280925.
- ^ Erica Bordignon e Rocchina Lucia Colucci, Il fentanyl: tossicità da impiego terapeutico, misuso e uso illecito (PDF), Università di Padova, pp. 10-11 (archiviato il 20 aprile 2025).
- ^ (EN) Mark Townsend, Dark web dealers voluntarily ban deadly fentanyl, in The Observer, 1º dicembre 2018. URL consultato il 18 novembre 2024.
- ^ washingtonpost.com, https://www.washingtonpost.com/world/2023/04/29/mexico-us-fentanyl/.
- ^ Sky TG24, Oppioidi, i numeri dell’emergenza negli Usa: 75mila morti all’anno, su tg24.sky.it, 10 maggio 2024. URL consultato il 18 novembre 2024.
- ^ Ministero degli Affari Esteri e della Cooperazione Internazionale, Il fentanyl: il fenomeno a livello globale e l’impegno italiano, su ambcittadelmessico.esteri.it. URL consultato il 18 novembre 2024.
- ^ Fentanyl, la droga che non lascia speranze • il Millimetro, su ilmillimetro.it, 10 settembre 2024. URL consultato il 18 novembre 2024.
- ^ Fernanda González, La silenziosa strage del fentanyl, su Wired Italia, 27 settembre 2023. URL consultato il 18 novembre 2024.
- ^ (EN) Nathaniel Popper, Opioid Dealers Embrace the Dark Web to Send Deadly Drugs by Mail, in The New York Times, 10 giugno 2017. URL consultato l'11 giugno 2017.
- ^ Allarme per il Fentanyl. La droga che uccide ora si vende anche in Italia, su Repubblica.it, 28 agosto 2019. URL consultato il 28 agosto 2019.
- ^ (EN) ‘Completely devastating’: US passes 1m overdose deaths since records began, su the Guardian, 11 maggio 2022. URL consultato il 13 maggio 2022.
- ^ (EN) Deidre McPhillips, Overdose deaths reaching another record level in US, provisional data shows, su CNN, 13 settembre 2023. URL consultato il 14 marzo 2024.
- ^ Prince è morto per un'overdose accidentale di un oppioide, su Il Post, 3 giugno 2016. URL consultato il 18 novembre 2024.
- ^ Rapper Coolio ucciso da overdose di fentanyl, lo rivela autopsia - Musica - Ansa.it, su Agenzia ANSA, 7 aprile 2023. URL consultato il 18 novembre 2024.
- ^ Sky TG24, Lil Peep, un mix di droghe potrebbe averne causato la morte, su tg24.sky.it, 28 novembre 2017. URL consultato il 18 novembre 2024.
- ^ Lo spacciatore di Mac Miller è stato condannato a 17 anni e 6 mesi | Rolling Stone Italia, su rollingstone.it, 17 maggio 2022. URL consultato il 18 novembre 2024.
- ^ Sky TG24, Angus Cloud, svelata la causa della morte dell'attore di Euphoria, su tg24.sky.it, 11 novembre 2024. URL consultato il 18 novembre 2024.
- ^ SLIPKNOT: svelata la causa del decesso di Paul Gray, su metalitalia.com. URL consultato il 22 novembre 2024.
- ^ (EN) Cydney Yeates, Famous drummer dies of fentanyl overdose in Las Vegas, su Mail Online, 14 febbraio 2025. URL consultato il 14 febbraio 2025.
- ^ (EN) HAN Archive - 00384|Health Alert Network (HAN), su emergency.cdc.gov, 26 novembre 2018. URL consultato il 18 novembre 2024.
- ^ emergency.cdc.gov, https://emergency.cdc.gov/han/han00413.asp.
- ^ emergency.cdc.gov, https://emergency.cdc.gov/han/2020/han00438.asp.
Voci correlate
Altri progetti
Wikimedia Commons contiene immagini o altri file su fentanyl
Collegamenti esterni
- Fentanyl, in Dizionario di medicina, Istituto dell'Enciclopedia Italiana, 2010.
- (EN) fentanyl, su Enciclopedia Britannica, Encyclopædia Britannica, Inc.
| Controllo di autorità | LCCN (EN) sh85047807 · J9U (EN, HE) 987007529002805171 |
|---|

