Lewisite
| Lewisite | |
|---|---|
![]() | |
![]() | |
| Nome IUPAC | |
| 2-cloroetenildicloroarsina | |
| Caratteristiche generali | |
| Formula bruta o molecolare | C2H2AsCl3 |
| Massa molecolare (u) | 207,32 |
| Aspetto | gas incolore, |
| Numero CAS | |
| PubChem | 5372798 |
| SMILES | C(=C[As](Cl)Cl)Cl |
| Proprietà chimico-fisiche | |
| Densità (g/cm3, in c.s.) | 1,89 |
| Temperatura di fusione | −18 °C (255,15 K) |
| Temperatura di ebollizione | 19 °C |
| Indicazioni di sicurezza | |
| Simboli di rischio chimico | |
| Frasi R | 23/25-50/53 |
| Frasi S | 1/2-20/21-28-45-60-61 |
La lewisite è il nome comune con cui si identifica il composto chimico 2-clorovinil-dicloarsina, composto impiegato nella guerra chimica, il quale attacca i polmoni e provoca avvelenamento attraverso l'assorbimento della cute. Ha formula chimica C2H2AsCl3.
La scoperta della 2-clorovinil-dicloroarsina si deve a Julius Arthur Nieuwland il quale ne rimase accidentalmente intossicato durante delle ricerche sulla reattività dell'acetilene durante la tesi di dottorato. Il chimico statunitense Winford Lee Lewis ne mise a punto la produzione industriale e da lui il composto ha preso il suo nome attuale.
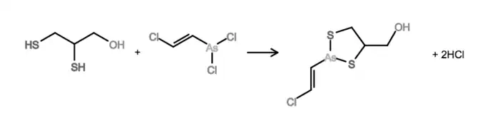
La lewisite ha effetti vescicanti a causa dell'inibizione dell'ossidazione dell'acido piruvico. Si diffonde attraverso la pelle più rapidamente dell'iprite, e i sintomi appaiono subito. La guarigione però avviene più rapidamente e ci sono meno rischi di infezioni secondarie. Il trattamento sia topico che per via sistemica può avvenire utilizzando un agente chelante, il dimercaprolo, meglio conosciuto con la sigla BAL (British Anti-Lewisite). Si tratta di un liquido oleoso, dall'odore sgradevole, contenente tioli che si legano chimicamente all'arsenico, che può essere somministrato in veicolo oleoso (olio di arachidi).
L'antidoto a base di BAL venne messo a punto nel 1940 presso l'Università di Oxford. L'efficacia del BAL come agente chelante lo fece adottare sin da subito come rimedio per gli avvelenamenti non solo da arsenico ma anche da mercurio, piombo, contro la malattia di Wilson e disturbi neurologici[1].

Note
Altri progetti
Wikimedia Commons contiene immagini o altri file su Lewisite
Collegamenti esterni
- (EN) lewisite, su Enciclopedia Britannica, Encyclopædia Britannica, Inc.
| Controllo di autorità | LCCN (EN) sh85076347 · GND (DE) 4327792-5 · J9U (EN, HE) 987007565573205171 |
|---|

