Mappa logistica

La mappa logistica è una mappa polinomiale di ordine 2, spesso citata come un esempio di come un comportamento caotico può sorgere da una semplice equazione dinamica non lineare. La mappa fu resa popolare nel 1976 dal biologo Robert May.
Descrizione
Descrizione matematica
Matematicamente, la mappa logistica è scritta:
dove:
- è un numero compreso tra 0 e 1, e rappresenta il rapporto tra la popolazione esistente e quella massima possibile in un anno , e quindi rappresenta il rapporto tra la popolazione iniziale (all'anno 0) e quella massima;
- è un numero positivo e rappresenta il tasso combinato tra la riproduzione e la mortalità.
Questa equazione non lineare descrive due effetti:
- riproduzione, in cui la popolazione cresce a un tasso proporzionale alla popolazione corrente quando la popolazione iniziale è piccola;
- mortalità, in cui il tasso di crescita diminuisce con una velocità proporzionale al valore ottenuto prendendo la "portata" teorica dell'ambiente meno la popolazione corrente.
Essendo un modello demografico, la mappa logistica ha il problema che alcune condizioni iniziali e valori dei parametri portano a un valore negativo della popolazione. Questo problema non compare nel vecchio modello di Ricker, che pure esibisce una dinamica caotica.
Descrizione qualitativa
Per valori bassi del parametro esiste un limite finito di . Segue quella che viene chiamata cascata di biforcazioni con raddoppiamento del periodo in ciascuna biforcazione. Si hanno cioè dei punti periodici stabili che fungono da attrattore per la successione generata (con costante) a partire da un generico punto iniziale . I punti di biforcazione si fanno sempre più vicini e la loro sequenza converge a . Il rapporto tra gli intervalli corrispondenti tende alla costante di Feigenbaum, Le ombre che si vedono nelle zone dove non c'è un periodo finito corrispondono alle iterate di quel valore di nel quale l'equazione discreta ha derivata nulla. La presenza di un massimo locale della funzione discreta assicura una certa stabilità numerica alle iterate successive, per cui si riescono a individuare periodi anche molto elevati. Si osservano periodi dispari per valori superiori del parametro, ben visibile il periodo 3 attorno a . Il periodo 6 si ha sia prima di quel punto () per auto-similarità dei due rami di biforcazioni, sia subito dopo () per la biforcazione che raddoppia il periodo 3.
Comportamenti dipendenti da r
Al variare del parametro , si osservano i seguenti comportamenti:
- Con compreso tra 0 e 1, la popolazione calerà fino a morire, indipendentemente dal valore iniziale della popolazione.
- Con compreso tra 1 e 2 la popolazione andrà velocemente a stabilirsi al valore , indipendentemente dal valore iniziale della popolazione.
- Con compreso tra 2 e 3, la popolazione andrà comunque a stabilizzarsi al valore ma prima oscillando tra quel valore per un po' di tempo. Il tasso di convergenza è lineare, eccetto per , quando è molto lento, meno che lineare.
- Con compreso fra 3 e , per quasi tutte le condizioni iniziali, la popolazione arriva a oscillare indefinitamente tra due valori: e
- Con compreso tra 3,44949 e 3,54409, per quasi tutte le condizioni iniziali, la popolazione arriva a oscillare indefinitamente tra quattro valori. Il limite superiore dell'intervallo è una radice di un polinomio di 12º grado.
- Con superiore a 3,54409, la popolazione oscillerà tra 8 valori, poi 16, poi 32, ecc. Le lunghezze degli intervalli di parametri che rendono lo stesso numero di oscillazioni di data lunghezza diminuiscono rapidamente. Il rapporto tra le lunghezze di due successivi di questi intervalli di biforcazione si avvicina alla costante di Feigenbaum . Questo comportamento è un esempio di cascata di biforcazioni con raddoppiamento del periodo.
- Con avviene l'insorgenza del caos, che segue la cascata di raddoppiamento del periodo. Minime variazioni del valore iniziale della popolazione daranno risultati anche molto differenti, una caratteristica primaria del caos.
- La maggior parte dei valori oltre 3,56995 esibisce un comportamento caotico, ma ci sono comunque ancora degli intervalli isolati di valori di che mostrano comportamenti non caotici; tali intervalli sono a volte chiamati isole di stabilità. Per esempio, iniziando da esiste un intervallo di valori di che mostrano oscillazioni fra tre valori, e per valori leggermente più alti di oscillazioni tra 6 valori, poi 12 ecc.
- Lo sviluppo del comportamento caotico nella sequenza logistica al variare di da circa 3,56995 a circa 3,82843 è detto a volte scenario di Pomeau–Manneville, ed è caratterizzato da una fase periodica (laminare) interrotta da tratti di comportamento aperiodico. Tale scenario trova applicazione nei dispositivi semiconduttori.[1] Esistono altri range di valori che rendono oscillazioni tra 5 valori etc.; tutti i periodi di oscillazione si riscontrano per alcuni valori di . Una finestra di raddoppiamento del periodo con parametro è un intervallo di valori di consistenti in una successione di sottointervalli. Il -esimo sottointervallo contiene i valori di per i quali si verifica un ciclo stabile (un ciclo che attrae un insieme di valori di punti iniziali di unità di misura) di periodo . Questa sequenza di sottoinsiemi è detta cascade of harmonics.[2] In un sottointervallo con ciclo stabile di periodo ci sono cicli instabili di periodo per ogni Il valore di alla fine della sequenza infinita di sottointervalli è detto punto di accumulazione della cascade of harmonics. All'aumentare di c'è una successione di nuove finestre con differenti valori di . La prima finestra è per ; tutte le finestre seguenti aventi valori dispari di si verificano in ordine decrescente di a partire da un valore di arbitrariamente elevato.
- Oltre , i valori lasciano l'intervallo [0,1] e divergono per quasi tutti i valori iniziali.
Per ogni valore di esiste al più un ciclo stabile. Un ciclo stabile attrae quasi tutti i punti.[3] Per un valore di con un ciclo stabile di un certo periodo, possono esserci infiniti cicli instabili di vari periodi.
Il diagramma di biforcazione sintetizza tutto ciò. L'asse orizzontale mostra i valori del parametro , mentre quello verticale mostra il relativo valore di , con che tende all'infinito.
Il diagramma di biforcazione è un frattale: se si ingrandisce attorno al già citato valore e si mette a fuoco su una delle tre braccia, la situazione somiglia ad una ristretta e distorta versione dell'intero diagramma. La stessa cosa accade per tutti gli altri punti in cui non si ha un comportamento caotico.
Caos e mappa logistica
La relativa semplicità della mappa logistica fornisce un eccellente punto di partenza per esaminare il concetto di caos. Una descrizione grossolana del caos è che il comportamento dei sistemi caotici è estremamente sensibile alle condizioni iniziali — una proprietà della mappa logistica per la maggior parte dei valori di tra 3,57 e 4 (come indicato sopra). Questa sensibilità alle condizioni iniziali spesso è originata dal fatto che la mappa si ripiega e si allunga ripetutamente nello spazio in cui è definita. Nel caso della mappa logistica, l'equazione quadratica che la descrive potrebbe essere interpretata come un'operazione di allungamento e ripiegatura sull'intervallo (0,1).

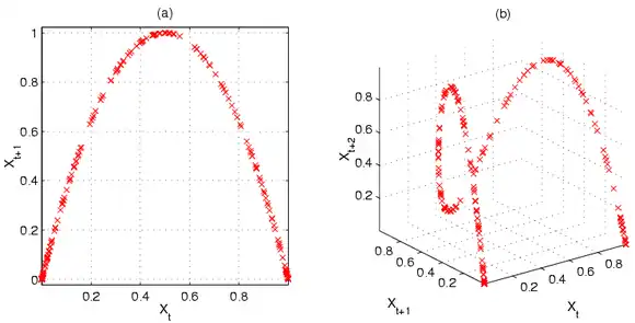
La figura seguente illustra l'allungamento e il piegamento verso l'alto della sequenza delle iterazioni della mappa. Il grafico (a), a sinistra, dà una versione in due dimensioni del grafico della mappa logistica per , e mostra chiaramente la curva quadratica dell'equazione alle differenze. Comunque, si può immergere la stessa sequenza in uno spazio tridimensionale in modo da poter analizzare più profondamente la struttura della mappa. Il grafico (b), a destra, mostra questo: come punti inizialmente vicini inizino a divergere, particolarmente in quelle regioni di corrispondenti alla sezione più ripida del tracciato.
Note
- ^ (EN) Carson Jeffries, Jose Perez, Observation of a Pomeau–Manneville intermittent route to chaos in a nonlinear oscillator, in Physical Review A, vol. 26, n. 4, 1982, pp. 2117-2122, DOI:10.1103/PhysRevA.26.2117.
- ^ (EN) R.M. May, Simple mathematical models with very complicated dynamics, in Nature, vol. 261, n. 5560, 1976, pp. 459-67, DOI:10.1038/261459a0, 934280.
- ^ Collet, Pierre e Jean-Pierre Eckmann, (EN) Iterated Maps on the Interval as Dynamical Systems, Birkhauser, 1980.
Bibliografia
- Julien Clinton Sprott, Chaos and Time-Series Analysis, Oxford University Press, 2003, ISBN 978-0-19-850840-3.
- Steven Strogatz, Nonlinear Dynamics and Chaos, Perseus Publishing, 2000, ISBN 978-0-7382-0453-6.
- Ernesto Salinelli e Franco Tomarelli, Modelli Dinamici Discreti, Springer-Verlga, 2009, ISBN 978-88-470-1075-8.
Voci correlate
- L'equazione di Verhulst per la soluzione continua
- Il modello logistico dell'accrescimento demografico, per il significato delle costanti
- Teoria del caos
- Equazione logistica
- Teoria delle biforcazioni
Altri progetti
Wikimedia Commons contiene immagini o altri file su mappa logistica
Collegamenti esterni
- The Logistic Map and Chaos by Elmer G. Wiens